
A solicitação causada pelo tráfego nas placas de concreto pode ser determinada de 3 formas distintas, sendo elas através das soluções analíticas, dos gráficos de influência desenvolvidos ou então com auxílio de análises computacionais com o método dos elementos finitos.
Nesse artigo iremos conversar um pouco sobre as soluções analíticas, calculando tensões e deformações no canto da placa, no interior da placa e na borda da placa. As soluções apresentadas abaixo aplicam-se quando é considerada apenas 1 roda, para demais rodas iremos abordar no próximo artigo.
CARREGAMENTO NO CANTO DA PLACA

Figura 1 – Carregamento no Canto. Fonte: Autor.
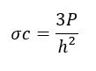
As Equações propostas por Goldbeck (1919) e Older (1924) são as mais antigas utilizadas para pavimentos de concreto e admitem uma carga concentrada aplicada no canto da placa de concreto.
Quando o suporte do subleito é desprezado, a placa pode ser considerada como uma viga em balanço e a tensão no topo (tração) é dado pela Equação 1.

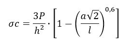
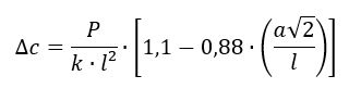
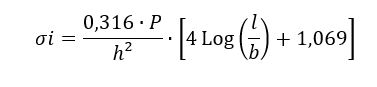
Quando se considera uma carga uniformemente distribuída em uma área circular, Westergaard (1926) observou que o momento máximo ocorre entre a uma distância obtida pelo produto de 2,38 e a raiz quadrado do produto entre o raio e o raio de rigidez relativa, conforme a Equação 2 para tensões e a Equação 3 para deflexões.


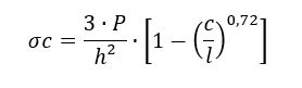
Anos mais tarde, Ionnides et al (1985) aplicaram o método dos elementos finitos para avaliar a solução de Westergaard e sugeriram as seguintes relações, sendo “c” o lado de uma área de contato quadrada e pode ser obtido multiplicando o raio de contato da roda por 1,772.


CARREGAMENTO NO INTERIOR DA PLACA

Figura 2 – Carregamento no interior. Fonte: Autor.
A equação para cálculo de tensões no interior da placa foi desenvolvida por Westergaard, sendo a solução para coeficiente de poisson de 0,15 é apresentada na Equação 6.

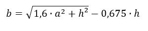
O valor de b varia com a hipótese de que se o raio de contato da roda (a) é maior que o produto de 1,724 e a espessura da placa, então o valor de b é o mesmo que o raio de contato da roda (a). Entretanto, se o produto é menor que esse valor, b é definido através da Equação 7.

A deflexão é calculada pela Equação 8.

CARREGAMENTO NA BORDA DA PLACA

Figura 3 – Carregamento na borda. Fonte: Autor.
As tensões na borda foram apresentadas por Westergaard em diferentes artigos nos anos de 1926, 1933 e 1948. Em 1948, Westergaard apresentou as soluções generalizadas para as tensões e deflexões máximas produzidas por carregamentos elípticos e semi elípticos atuando na borda da placa.
As Equações 9 e 10 apresentam a tensão na borda devido a uma carga circular e a deflexão na borda devido a carga circular, respectivamente, ambas as equações consideram o coeficiente de poisson de 0,15.


As tensões na borda são maiores que as tensões de canto e de interior da placa, entretanto, a deflexão da borda é maior que a de interior mas muito menor que a deflexão no canto da placa.
Esse artigo foi útil para você? Compartilhe esse artigo para que outras pessoas entendam esse conceito dos pavimentos de concreto. Se tiver dúvidas, deixe nos comentários que elas serão respondidas!
Siga nas redes sociais abaixo para acompanhar nosso trabalho!
FONTES:
BALBO, José Tadeu, “PAVIMENTOS DE CONCRETO”. São Paulo, 2009.
FAXINA, A.L; “Notas de Aulas da disciplina de Análise de tensões e deformações em Pavimentos“. Escola de Engenharia de São Carlos (USP-EESC). São Carlos, 2019.
HUANG, Y.H. “Pavement Analysis and Design”. Second Edition. New Jersey, 2004.
MEDINA, J; MOTTA, L.M.G. “Mecânica dos Pavimentos”. Rio de Janeiro, 2015.
MALLICK, R.B; EL-KORCHI, T. “PAVEMENT ENGINEERING: PRINCIPLES AND PRACTICE”. CRC PRESS: Second Edition. Florida, 2013.
PRIETO, Valter; “Notas de Aulas da disciplina de Superestrutura Rodoviária”. Centro Universitário da FEI. São Bernardo do Campo, 2016.
PEIXOTO, Creso de Franco; “Generalidades de Pavimentação Rodoviária”. Rio Claro, 2003.



1 comentário