
Há dois métodos mais consagrados para dimensionamento de trilhos ferroviários, ambos baseiam-se na consideração da grade apoiada em um meio elástico, ou seja, o modelo é semelhante a uma viga solicitada sobre uma fundação deformável.
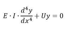
O procedimento de cálculo pelo método de Talbot admite que cada trilho da via trabalha em uma condição semelhante a uma viga sobre apoio elástico, seguindo o modelo de equação diferencial apresentado na Equação 1.

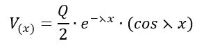
Através da equação diferencial, a solução para deflexão y sobre uma determinada posição ao longo do eixo horizontal (x), resulta na Equação 2. Onde, Q é a carga por roda dos veículos ferroviários, e U é o modulo de fundação da via. A Equação 3 apresenta o cálculo da variável lambida.


A resistência linear contra o trilho é calculado pelo produto entre o modulo de deformação da via e a deflexão do trilho, conforme Equação 4.

Para o cálculo dos momentos em função da distância horizontal e da cortante é utilizada a Equação 5 e Equação 6.


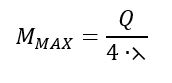
A deflexão máxima ocorre no ponto de aplicação da carga, conforme Equação 7, e dessa forma a força de resistência linear máxima ocorre pelo produto do modulo de deformação da via e da deflexão máxima.. Já o momento máximo é dado pela Equação 8, que depende da carga aplicada da roda e da variável lambida.


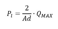
Os dormentes recebem determinada porcentagem da carga, dessa forma o valor limite da carga atuante no dormente é dado pela Equação 9, e a pressão atuante sobre o lastro é dado pela Equação 10. Onde, “a” é o espaçamento entre os dormentes e “Ad” é a área de contato do dormente no lastro, chamado de área de soca.


Esse artigo foi útil para você? Compartilhe esse artigo para que outras pessoas entendam esse conceito da Infraestrutura Ferroviária. Se tiver dúvidas, deixe nos comentários que elas serão respondidas!
Siga nas redes sociais abaixo para acompanhar nosso trabalho!
Fontes:
PAIVA, C.E.L. “SUPER E INFRAESTRUTURAS DE FERROVIAS: Critérios para Projeto“. Editora Elsevier: São Paulo, 2016.
NABAIS, R.J.S; “MANUAL BÁSICO DE ENGENHARIA FERROVIÁRIA”. Oficina de Textos: São Paulo, 2015.
NETO, C.B. “MANUAL DIDÁTICO DE FERROVIAS“. Universidade Federal do Paraná: Paraná, 2018.
STOPATTO, S. “VIA PERMANENTE FERROVIÁRIA: Conceitos e aplicações“. São Paulo, 1987.


