
Os dormentes recebem uma certa porcentagem das solicitações provenientes das rodas nos trilhos. Segundo PAIVA (2016) os estudos e pesquisas de engenharia ferroviária mostraram que uma dada carga Q dos veículos ferroviários carrega os dormentes com aproximadamente 40% da carga Q.
Essa carga não é distribuída em todo o comprimento do dormente, mas sim em duas área específicas e chamada de faixa socada do lastro. O espaçamento entre dormentes de madeira, varia normalmente entre 55 e 60 centímetros e pode variar conforme o tipo de trilho, a fixação, carga e o tráfego. Para o caso de dormentes de concreto é usual o espaçamento de 60 centímetros.
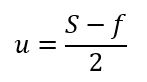
O cálculo da área socada do lastro é definido em função do comprimento do dormente e da bitola da via. A Figura 1 ilustra a seção transversal com a área socada, onde “S” é a distância entre eixo dos trilhos, “f” é a largura sem soca e “u” é a semi largura da faixa de soca.

Com base na Figura 1, o cálculo da semi largura de soca é calculado pela Equação 1 ou Equação 2.


A área sem soca pode ser calculado por meio da Equação 3. Além disso, a NBR 7914/90 que define diretrizes para projetos de Lastro, indica os valores para a faixa sem soca, conforme Tabela 1.


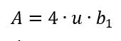
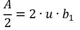
Por fim, a área total de soca fica definida pela produto de 4 vezes a semi largura de soca e a largura do dormente (b1). Nos cálculos de lastro é comum a utilização de apenas um trilho para os cálculos, dessa forma utiliza-se apenas metade da área total de soca ou o produto de 2 vezes a semi largura u e a largura do dormente. A Equação 4 apresenta a área total e Equação 4 apresenta a área de soca de apenas 1 trilho.


Esse artigo foi útil para você? Compartilhe esse artigo para que outras pessoas entendam esse conceito da Infraestrutura Ferroviária. Se tiver dúvidas, deixe nos comentários que elas serão respondidas!
Siga nas redes sociais abaixo para acompanhar nosso trabalho!
Fontes:
PAIVA, C.E.L. “SUPER E INFRAESTRUTURAS DE FERROVIAS: Critérios para Projeto“. Editora Elsevier: São Paulo, 2016.
NABAIS, R.J.S; “MANUAL BÁSICO DE ENGENHARIA FERROVIÁRIA”. Oficina de Textos: São Paulo, 2014.
NETO, C.B. “MANUAL DIDÁTICO DE FERROVIAS“. Universidade Federal do Paraná: Paraná, 2018.
SELIG, E.T; WATERS, J.M. “TRACK GEOTECHNOLOGY AND SUBSTRUCTURE MANAGEMENT”. London, 1994.


