
O método de dosagem das misturas asfálticas recicladas segue os passos da dosagem Marshall com o acréscimo de algumas etapas para a análise do ligante do revestimento fresado.
O primeiro passo da dosagem consiste na determinação da composição de material reciclado. Com a amostra fresada, determina-se a granulometria do material fresado, teor de ligante e a viscosidade do ligante fresado.
A escolha de novos agregados tem como base a faixa granulométrica e as propriedades de abrasão do material. A quantidade de Ligante total é calculada pela Equação 1. Onde “a” é a porcentagem de agregados retido na peneira #8, “b” é a porcentagem de agregados passantes na peneira #8 e retidos na #200 e “c” é a passante na #200. O “F” é o fator de absorção dos agregados entre 0 e 2%. O “k” é uma constante em função da quantidade passante na peneira #200, podendo ser:
- “c” entre 11 e 15 = 0,15
- “c” entre 6 e 10 = 0,18
- “c” menor ou igual a 5 = 0,20

Com o teor de ligante total, pode-se definir o teor de ligante que será incorporado na mistura pela Equação 2. Onde “Plf” é o teor de ligante do material fresado, “r” é o relação entre agregados novos e agregados totais e “Plt” é o teor de ligante (envelhecido + Novo).

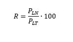
Com isso é possível determinar a quantidade de ligante a ser incorporado em relação a quantidade do ligante total, conforme Equação 3. Com isso em um gráfico de viscosidade por teor de ligante novo, no eixo y é colocado a viscosidade do asfalto (Ponto A). É marcado ainda a viscosidade que deseja-se alcançar pela ligante de ligante fresado com a adição do ligante novo (Ponto B) no percentual R.
Os pontos A e B são unidos e determina-se a intersecção no eixo direito (Ponto C). Este ponto equivale a viscosidade a 60°C do ligante novo na mistura, conforme Figura 1.


Após esse procedimento é realizada a dosagem segundo o método marshall, determinando o teor de projeto com volume de vazios de 4%. Esse artigo foi útil para você? Compartilhe esse artigo para que outros entendam como realizar a dosagem de misturas recicladas. Se tiver dúvidas, deixe nos comentários que elas serão respondidas!
Siga nas redes sociais abaixo para acompanhar nosso trabalho!
Fontes:
BALBO, José Tadeu, “PAVIMENTAÇÃO ASFÁLTICA: Materiais, projeto e restauração”. São Paulo, 2007.
BERNUCCI, L.B; MOTTA, L.M.G; CERATTI, J.A.P; SOARES, J.B. “PAVIMENTAÇÃO ASFÁLTICA: Formação básica para Engenheiros”. Rio de Janeiro, 2008.
EAPA. “DIRETIVAS AMBIENTAIS SOBRE AS MELHORES TÉCNICAS DISPONÍVEIS PARA PRODUÇÃO DE MISTURAS BETUMINOSAS”. 1998.
ESTEVES, S.F. “RECICLAGEM DE PAVIMENTOS BETUMINOSOS: INFLUÊNCIA DA GRANULOMETRIA NAS PROPRIEDADES MECÂNICAS DE MISTURAS RECICLADAS A FRIO COM EMULSÃO“. Tese de Mestrado: Faculdade de Engenharia da Universidade do Porto. Porto, 2014.
PEIXOTO, Creso de Franco; “GENERALIDADES DE PAVIMENTAÇÃO RODOVIÁRIA”. Rio Claro, 2003.
PRIETO, Valter; “NOTAS DE AULA – SUPERESTRUTURA RODOVIÁRIA”. Centro Universitário da FEI. São Bernardo do Campo, 2016.


