
Os pátios aeroportuários tem a função de estabelecer área compatível de docagem, rampas, das Aeronaves. Dentre os fatores que influenciam nas dimensões do pátio pode-se destacar o número de posições e o sistema de estacionamento.
A disposição das aeronaves é a maneira como elas estão posicionadas em relação a interface, onde são consideradas como essas posições afetam as operações de embarque e desembarque dos passageiros. Além disso, considera-se o ruídos dos jatos das turbinas e as sensações térmicas. As disposições são:
- Longitudinal: É o que apresenta a maior área. Apresenta como vantagem as portas de entrada e saída próxima ao TPS, além de menor ruído no TPS. Não precisa de reboque.
- Obliqua (Nariz para dentro): Apresenta área elevada, embora menor que a longitudinal. Como vantagem não precisa de reboque.
- Transversal (Nariz para dentro): Apresenta menor área ocupada. Baixo nível de ruídos, além do jato de ar não afetar o TPS. Como desvantagem ele necessita de um push back e porta traseira distante.
- Obliqua (Nariz para fora): Área menor que a obliqua para dentro e não precisa de reboque. Como desvantagem, o jato de ar gera impacto no TPS.
- Transversal (Nariz para fora): Área igual a obliqua para fora, ruídos não afetam o TPS, mas o jato de ar ataca violentamente o TPS.
Além do posicionamento das aeronaves, influencia o tipo de Sistema adotado no TPS. O Sistema Frontal é ideal para o volume de hora pico reduzido de aeronaves e se caracteriza por alinhamento de aeronaves imediatamente junto a superfície entre TPS e Pátio. O Sistema Expandido é ideal para volume elevado ao longo dos anos de vida útil. É uma solução com alinhamento extra, com o pátio avançando e permitindo embarque direto. A Figura 1 ilustra o sistema frontal.

O Sistema com Fingers é ideal para volume elevado e é utilizado em grande aeroportos, permitindo estabelecer grande extensão de interface. Por fim, o Sistema de Satélites é ideal para circulação de aeronaves no pátio, pois permite passagem em toda a volta do satélite. É uma solução para demanda elevadíssima de tráfego, mas envolve uma obra de elevado custo. A Figura 2 ilustra o Sistema de Fingers e a Figura 3 o Sistema de Satélites.


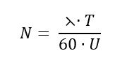
A capacidade do pátio deverá ser estabelecido para a capacidade ideal ou capacidade restrita. A Capacidade ideal é aquela que qualquer aeronave de determinado tipo pode utilizar qualquer doca sem a necessidade de reserva para uma companhia. A Capacidade restrita é quando as vagas tem reserva de uso para determinada companhia. A Equação 1 representa o número de posições no patio para atender Mix de Frota, onde “lambida” é o volume de projeto (Aeronaves/hora), T é a média ponderada dos tempos de parada e U é a taxa de utilização. Para capacidades ideais, U varia entre 0,6 e 0,8 e para capacidades restritas varia entre 0,5 e 0,6.

Esse artigo foi útil para você? Compartilhe esse artigo para que outras pessoas aprendam esses conceitos de pátios aeroportuários. Se tiver dúvidas, deixe nos comentários que elas serão respondidas!
Siga nas redes sociais abaixo para acompanhar nosso trabalho!
FONTES:
PEIXOTO, C.F. “NOTAS DE AULA DA DISCIPLINA DE AEROPORTOS”. Centro Universitário da FEI: São Bernardo do Campo, 2017.
PEIXOTO, C.F. “INTRODUÇÃO À ENGENHARIA AEROPORTUÁRIA”. Rio Claro, 2015.


