
Para dimensionar uma Pista de Táxi devemos levar em consideração que as cargas das rodas aeronáuticas devem ser iguais ou maiores que as das pistas de pouso e decolagem. Isso ocorre porque quando uma aeronave percorre as pistas de táxi ela está com uma quantidade maior de combustível, dessa forma o pavimento é mais solicitado do que nas pistas de pouso e decolagem.
As pistas de Saída de Táxi precisam de estudos quanto a sua geometria, pois deve permitir a rapidez de saída, assim como mencionado nos elementos de pistas. Para realizar essas análises, estabelece eixo da via de acordo com o movimento curvilíneo das aeronaves.
As aeronaves podem sair das pistas com velocidades superiores a 100 quilômetros por hora. Nessas pistas, o raio de curvatura é o parâmetro mais importante pois tem influencia com a velocidade. A superlargura inicial deve ser superior a 30 metros, para permitir melhor aproveitamento da saída e diminui ao longo da pista até chegar na largura pré estabelecida para baixas velocidades.
Uma boa mudança de direção está entre 30 e 45° (ângulo total). Embora os ângulos menores que 30° permitem melhor visibilidade, quanto menor o ângulo mais demora para o avião deixar a “runway”. O ângulo total é a somatória dos dois ângulos, conforme ilustrado na Figura 1.

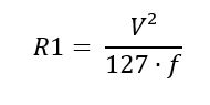
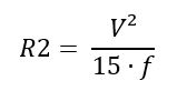
Para o cálculo dos raios de saída deve ser considerado um coeficiente de atrito de 1,13, pois gera uma saída mais suave aos esforços sobre a aeronave. A curva de transição apresenta dois raios, sendo uma curva circular composta. O primeiro Raio (R1) assegura uma transição gradual entre as trajetórias, e o segundo raio (R2) é para evitar gastos excessivos dos pneus. A Equação 1 apresenta o raio de curvatura 1 e a Tabela 1 os coeficientes de atrito. As Equações dos raios utilizam a velocidade em Km/h.


A Equação 2 apresenta o Raio de Curvatura 2 considerando o coeficiente de atrito de 1,13, conforme sugerido anteriormente.

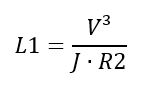
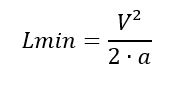
Conhecido o Raio de Curvatura 2, pode-se estabelecer também o comprimento circular de entrada (L1), que utiliza a taxa de aceleração centrípeta (J) com aproximadamente 0,4 metros por segundo ao quadrado por segundo. Diferente do que ocorre no cálculo dos Raios, o comprimento utiliza as velocidades em m/s. A Equação 3 apresenta o comprimento circular, o qual deve ser comparado com o comprimento mínimo da Equação 4.


Esse artigo foi útil pra você? Compartilhe para que outras pessoas também aprendam sobre as pistas de táxi e como calcular o comprimento necessário destas. Dúvidas? Deixe nos comentários que elas serão respondidas!
Siga nas redes sociais abaixo para acompanhar nosso trabalho!
FONTES:
PEIXOTO, C.F. “NOTAS DE AULA DA DISCIPLINA DE AEROPORTOS”. Centro Universitário da FEI: São Bernardo do Campo, 2017.
PEIXOTO, C.F. “INTRODUÇÃO À ENGENHARIA AEROPORTUÁRIA”. Rio Claro, 2015.


