
O tráfego rodoviário é função de eventos que ocorrem ao longo do ano, mês, dia ou semana. Durante um dia, por exemplo, não é difícil perceber que no começo da manhã e no fim da tarde o número de veículos aumenta nas principais avenidas. Isso ocorre devido ao horário de pico, onde as pessoas “vão” e “voltam” do trabalho, um assunto que será tratado em artigos sobre Flutuação da Demanda.
Entretanto, para a análise do volume diário médio não utiliza-se essa variação diária da flutuação, ou da sazonalidade no caso de volume anual. Ou seja, o volume diário médio não representa o volume exato de veículos diários. O Tráfego diário médio anual é então encontrado coletando o tráfego total em um ano e dividindo por 365, Equação 1.

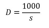
Para a análise de determinada seção, utiliza-se o conceito de espaçamento entre veículos (s). O espaçamento é o espaço da frente de um veículo até a frente do veículo que o segue, medido em metros por veículo. A Densidade (D) é dada em veículos por quilômetro, Equação 2.

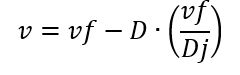
A velocidade de fluxo livre (vf), que é a velocidade confortável em uma via com nível de serviço excelente, está diretamente associada a densidade de tráfego. Quanto maior a densidade de tráfego, menor será a velocidade. A densidade aumenta até chegar ao congestionamento, densidade máxima de tráfego (Df). A Figura 1 apresenta um gráfico que ilustra o raciocínio, apresentado no Modelo de Greenshields. A Equação 3 apresenta a velocidade em função da densidade.


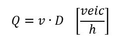
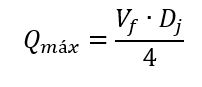
Utilizando a densidade de tráfego e a velocidade, obtêm-se o fluxo de veículos em determinado local utilizando a equação fundamental do tráfego, Equação 4. O fluxo máximo é encontrado através da derivada da Equação 3, quando a velocidade é metade da velocidade de fluxo livre. A Equação 5 apresenta o fluxo máximo.


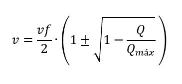
Para o mesmo fluxo, pode-se apresentar duas densidades de tráfego e consequentemente duas velocidades de tráfego. Dessa forma, o maior fluxo de tráfego não está associado a “quanto mais velocidade melhor”. A Figura 2 apresenta o gráfico de Fluxo de tráfego. A Equação 6 o cálculo das velocidades em função da capacidade.


Esse artigo foi útil para você? Compartilhe esse artigo para que outras pessoas entendam o por que aumentar a velocidade não significa uma cidade sem trânsito. Se tiver dúvidas, deixe nos comentários que elas serão respondidas!
Siga nas redes sociais abaixo para acompanhar nosso trabalho!
RAMOS, R.F. “Notas de Aula da disciplina – ENGENHARIA DE TRÁFEGO”. São Bernardo do Campo, 2017.



1 comentário