
As barras de transferência são aquelas posicionadas ao longo das juntas transversais dos pavimentos e, como o próprio nome já diz, têm função de transferir parte da carga que uma placa recebe para a outra placa de concreto. O objetivo de transferir carga é porque as tensões e deflexões nas juntas são muito menores quando compartilhadas entre placas.
Uma barra de transferência cumprindo seu papel pode minimizar a formação de degraus (faulting) entre placas de pavimentos de concreto e prevenir o bombeamento de finos (pumping), o qual é utilizado como fator de projeto pelo método de dimensionamento da PCA (1984).
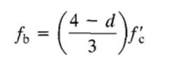
A tensão de flexão admissível nas placas pode ser determinada pela Equação 1 da American Concrete Institute (1956), onde f’c é a tensão ultima de compressão no concreto e d é o diâmetro da barra.

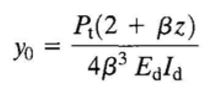
A deformação máxima do concreto sobre a barra, conforme Figura 1, pode ser calculada pela Equação 2, onde beta é a rigidez relativa da barra no concreto expresso pela Equação 3, Pt é a carga atuante em uma barra e “z” é a largura da junta.



A tensão de flexão sofrida pelo concreto pode ser calculado pela Equação 4, o qual deve ser comparado com a Equação 1 para saber se suporta ou não as tensões. No caso da tensão sofrida ser maior que a tensão admissível é necessário mudar o número de barras, aumentar o diâmetro ou outro parâmetro a fim de promover maior segurança.

Quando uma carga é aplicada sobre uma junta com 100% de eficiência, ambas as placas sofrerão a mesma deflexão, ou seja, as forças de reação em ambas as placas serão iguais. Dessa forma, cada placa fica responsável por suportar metade da carga aplicada. Com o passar do tempo as barras e as juntas tendem a perder eficiência, diminuindo a transferência de carga. A Figura 2 ilustra a força reativa nas placas.

As barras que estão logo abaixo a aplicação da carga absorvem maiores tensões, sendo que as outras barras são responsáveis por cargas gradativamente menores em função da distância do ponto de aplicação da carga. Em 1940, Friberg observou utilizando as soluções de Westergaard que o momento negativo máximo ocorre a uma distância de 1,8l, onde l é o raio de rigidez relativa. Dessa forma, podemos montar um diagrama de esforços para observar as maiores cortantes na barra, conforme o exemplo da Figura 3.

Por meio da Figura 3, observa-se que cada barra fica responsável por uma porcentagem da carga Pt aplicada. Para um caso de 2 cargas aplicadas, que é na verdade o caso real, os diagramas devem ser somados para encontrar a barra mais solicitada, conforme o exemplo da Figura 4 e a soma do diagrama da Figura 5.


Encontrada a barra mais solicitada, pode-se utilizar da Equação 4 para encontrar a tensão atuante e comparar com a Equação 1. Satisfazendo essas condições, as barras de transferência estão dimensionadas. Ou seja, as barras de transferência exercem função extremamente importante nos pavimentos de concreto.
Esse artigo foi útil para você? Compartilhe esse artigo para que outras pessoas entendam esse conceito dos pavimentos de concreto. Se tiver dúvidas, deixe nos comentários que elas serão respondidas!
Siga nas redes sociais abaixo para acompanhar nosso trabalho!
FONTES:
BALBO, José Tadeu, “PAVIMENTOS DE CONCRETO”. São Paulo, 2009.
FAXINA, A.L; “Notas de Aulas da disciplina de Análise de tensões e deformações em Pavimentos“. Escola de Engenharia de São Carlos (USP-EESC). São Carlos, 2019.
HUANG, Y.H. “Pavement Analysis and Design”. Second Edition. New Jersey, 2004.
MEDINA, J; MOTTA, L.M.G. “Mecânica dos Pavimentos”. Rio de Janeiro, 2015.
MALLICK, R.B; EL-KORCHI, T. “PAVEMENT ENGINEERING: PRINCIPLES AND PRACTICE”. CRC PRESS: Second Edition. Florida, 2013.
PRIETO, Valter; “Notas de Aulas da disciplina de Superestrutura Rodoviária”. Centro Universitário da FEI. São Bernardo do Campo, 2016.
PEIXOTO, Creso de Franco; “Generalidades de Pavimentação Rodoviária”. Rio Claro, 2003.


