
Quando um pavimento fica submetido a variações de temperatura ocorre a tendência de expansão ou contração da placa de concreto, essas movimentações resultam em atrito entre a placa e a fundação e provoca tensões de tração no concreto.
Para os pavimentos de concreto simples, ou seja, aqueles pavimentos que não apresentam armadura estrutural, o espaçamento entre juntas de contração deve ser escolhido de maneira que as tensões devido o atrito não causem fissuras.
Para casos em que deseja-se utilizar um espaçamento maior entre juntas, um reforço em malha de aço é utilizado para suportar essas tensões de atrito. A variação volumétrica devido a temperatura e a umidade resulta em dois efeitos no concreto:
- Induzem tensões de tração que levam ao trincamento
- Abrem as juntas e diminuem a eficiência da transferência de carga
As tensões de atrito são formadas justamento por que ocorre o atrito entre a placa e o subleito ou base. Dessa forma, esse é o principal objetivo de ser utilizado lonas plásticas antes da concretagem do pavimento, ou seja, diminuir o máximo o atrito para permitir movimentação e evitar tensões de atrito. A Figura 1 ilustra a lona plástica antes da concretagem de um piso industrial.

As tensões que são desenvolvidas devido o atrito variam com base no comprimento da placa, dessa forma as placas mais curtas podem não causar tensões suficientes para levar ao trincamento do concreto. Entretanto, em placas longas as tensões devido o atrito podem provocar tensões excessivas e levar ao trincamento.
Em artigos anteriores nos abordamos as tensões devido ao empenamento térmico, podemos dizer que as tensões de empenamento são críticas para placas médias com comprimento variando de 30 a 40 pés (algo em torno de 9 e 12 metros), já as tensões de atrito são críticas para placas longas, com comprimento maiores que 100 pés (30 metros).
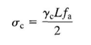
A Equação 1 apresenta o cálculo da tensão de tração no concreto, o qual é função do peso específico do concreto, do comprimento da placa e do coeficiente de atrito médio entre a placa e o subleito, assumido normalmente como sendo 1,5. A abertura das juntas é calculado pela Equação 2, o qual é função do fator de ajuste devido o atrito entre placa e sub-base (C) e varia de 0,65 para bases estabilizadas a 0,8 para bases granulares, do coeficiente de expansão térmica do concreto que varia de 9 a 10,8 vezes 10^-6 por grau celsius, e do coeficiente de retração por secagem (e) que varia de 0,5 a 2,5 vezes 10^-4.


Esse artigo foi útil para você? Compartilhe esse artigo para que outras pessoas entendam esse conceito dos pavimentos de concreto. Se tiver dúvidas, deixe nos comentários que elas serão respondidas!
Siga nas redes sociais abaixo para acompanhar nosso trabalho!
FONTES:
BALBO, José Tadeu, “PAVIMENTOS DE CONCRETO”. São Paulo, 2009.
FAXINA, A.L; “Notas de Aulas da disciplina de Análise de tensões e deformações em Pavimentos“. Escola de Engenharia de São Carlos (USP-EESC). São Carlos, 2019.
HUANG, Y.H. “Pavement Analysis and Design”. Second Edition. New Jersey, 2004.
MEDINA, J; MOTTA, L.M.G. “Mecânica dos Pavimentos”. Rio de Janeiro, 2015.
MALLICK, R.B; EL-KORCHI, T. “PAVEMENT ENGINEERING: PRINCIPLES AND PRACTICE”. CRC PRESS: Second Edition. Florida, 2013.
PRIETO, Valter; “Notas de Aulas da disciplina de Superestrutura Rodoviária”. Centro Universitário da FEI. São Bernardo do Campo, 2016.
PEIXOTO, Creso de Franco; “Generalidades de Pavimentação Rodoviária”. Rio Claro, 2003.


