
Em 1943 e 1945 foram publicados os artigos com a solução para 2 camadas do pavimento. O sistema de duas camadas foi discutido em 2 artigos distintos aqui no Além da Inércia, onde apresentamos o cálculo de tensões verticais, deflexões e também os fatores de deformação, esse último aplicado para rodas simples, duplas e tandem duplo.
Em 1958 foi publicado no Highway Research Board o artigo em que Burmister apresenta a expansão da teoria para um sistema de 3 camadas, contemplando revestimento, base e subleito. A Figura 1 ilustra um sistema de 3 camadas onde é possível observar 6 tensões, sendo elas:
- Tensão vertical na interface 1
- Tensão vertical na interface 2
- Tensão horizontal no fundo da camada 1
- Tensão horizontal no topo da camada 2
- Tensão horizontal no fundo da camada 2
- Tensão horizontal no topo do subleito

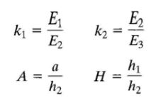
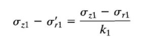
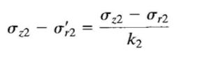
Peattie (1962) desenvolveu gráficos para obter os fatores de tensão vertical (ZZ1 e ZZ2) através de parâmetros k1, k2, H e A, conforme Equação 1, e Jones (1962) desenvolveu uma série de tabelas que auxiliam para determinar os fatores de diferença de tensões ZZ1-RR1, ZZ2-RR2 E ZZ2-RR3.
Segundo Huang (2004), os gráficos foram desenvolvidos para 4 valores de k1 e k2 (0.2, 2, 20 e 200), sendo que os valores intermediários são obtidos através de interpolação. Os gráficos de Peattie e as tabelas de Jones são apresentadas de forma agrupada em Tabela 1 e Tabela 2, respectivamente.

Com o uso dos gráficos de Peattie (1962) é possível obter os valores do fator de tensão vertical, ZZ1 e ZZ2, e então aplicar na Equação 2 e Equação 3 para determinar as tensões verticais na interface.


Com o uso das tabelas de Jones (1962) é possível obter os valores de fator de diferença de tensões e aplicar na Equação 4 e Equação 5.


Dessa forma, com as tensões verticais nas interfaces e a diferença de tensões calculadas é possível encontrar as tensões horizontais nas interfaces. Vale ressaltar que a convenção utilizada nos ábacos é de sinal positivo para tensões de compressão e negativo para tensões de tração.
As tensões horizontais no topo da base e tensões horizontais no topo do subleito podem ser obtidos pela Equação 6 e Equação 7, conforme relata Huang (2004). Isso ocorre pois a continuidade do deslocamento horizontal na interface implica que as deformações radiais na parte inferior de uma camada são iguais as do topo da próxima camada.


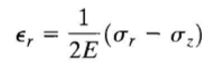
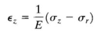
As deformações horizontais e verticais são obtidas através da Equação 8 e Equação 9. Observa-se também através das equações que a deformação vertical é o dobro da deformação horizontal mas trocando-se o sinal.


Esse artigo foi útil para você? Compartilhe esse artigo para que outras pessoas entendam esse conceito da mecânica dos pavimentos. Se tiver dúvidas, deixe nos comentários que elas serão respondidas!
Siga nas redes sociais abaixo para acompanhar nosso trabalho!
FONTES:
BALBO, José Tadeu, “PAVIMENTAÇÃO ASFÁLTICA: Materiais, projeto e restauração”. São Paulo, 2007.
FAXINA, A.L; “Notas de Aulas da disciplina de Análise de tensões e deformações em Pavimentos“. Escola de Engenharia de São Carlos (USP-EESC). São Carlos, 2019.
HUANG, Y.H. “Pavement Analysis and Design”. Second Edition. New Jersey, 2004.
MEDINA, J; MOTTA, L.M.G. “Mecânica dos Pavimentos”. Rio de Janeiro, 2015.
MALLICK, R.B; EL-KORCHI, T. “PAVEMENT ENGINEERING: PRINCIPLES AND PRACTICE”. CRC PRESS: Second Edition. Florida, 2013.
PRIETO, Valter; “Notas de Aulas da disciplina de Superestrutura Rodoviária”. Centro Universitário da FEI. São Bernardo do Campo, 2016.
PEIXOTO, Creso de Franco; “Generalidades de Pavimentação Rodoviária”. Rio Claro, 2003.



1 comentário