
Com o avanço da mecânica dos pavimentos foi observado que os pavimentos possuem como uma das principais causas de trincas a ruptura por fadiga da camada, observado nas trincas de fadiga em trilhas de roda e também conhecido como trinca de couro de jacaré.
Os métodos mais recentes de dimensionamento de pavimentos consideram a deformação de tração na fibra inferior do revestimento, ou da camada estabilizada, como um critério de projeto para prevenir esses defeitos na estrutura. Quando analisamos as deformações, dois tipos principais podem ser considerados sendo eles:
- Deformação principal global = Baseia-se nos 6 componentes de tensões normais e cisalhantes
- Deformação principal horizontal = Baseia-se nas tensões normais horizontais e de cisalhamento apenas
A deformação principal global é um pouco maior do que a deformação principal horizontal, sendo considerada mais segura.
RODAS SIMPLES
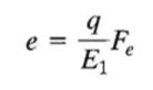
Em 1973 Huang desenvolveu ábacos para o cálculo do fator de deformação na fibra inferior da primeira camada para um sistema de 2 camadas, conforme Figura 1. A deformação principal global pode ser calculada através da Equação 1.


O ábaco foi desenvolvido para aplicação de uma roda única, sendo que a deformação máxima ocorre geralmente no centro da área de aplicação da carga, ou seja, onde a tensão de cisalhamento é nula.
RODAS DUPLAS
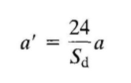
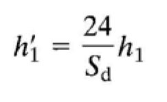
Para o caso da aplicação de 2 cargas (rodas), o fator de deformação é função do raio da aplicação da carga (a) e do espaçamento entre as rodas (Sd). Dessa forma, para aplicação no ábaco é necessário determinar as relações Sd/a, E1/E2 e h1/a.
Como seriam necessários diversos ábacos variando a relação Sd/a, foi desenvolvida uma solução única utilizando um ábaco apenas. A solução toma como base a substituição das rodas duplas por uma roda simples com o mesmo raio (a), tendo como objetivo permitir o uso do ábaco de rodas simples.
A solução usa como base um espaçamento entre rodas Sd de 24in e raio de aplicação de carga variando de 3 a 8in. Dessa forma, com base em Sd, h1, a é necessário calcular a’ e h1′, pela Equação 2 e Equação 3, respectivamente:


Entretanto, como o fator deformação para duas rodas é normalmente maior que o de rodas simples, o método precisa de um fator de correção que relacione os dois. Ou seja, é necessário o calcular os fatores C1 e C2 através da Figura 2 e interpolar entre 3in e 8in, conforme Equação 4.


Por fim, o fator de deformação para rodas duplas é dado pelo produto do fator de deformação para rodas simples (utilizando os valores originais) e o fator de correção.
TANDEM DUPLO
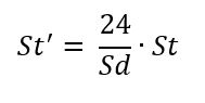
A solução para tandem duplo segue o mesmo principio dos desenvolvidos para rodas duplas, nesse caso foram criados ábacos para espaçamento entre rodas (Sd) de 24in e espaçamento entre eixos (St) de 24in, 48in e 72in utilizados para o calculo do fator de conversão para tandem duplo.
Para tandem duplo além de a’ e h1′, conforme Equação 2 e Equação 3, também é necessário o cálculo de um novo St’, seguindo a mesma proporção conforme Equação 5.

O Fator de correção C1 e C2 podem ser encontrados através dos ábacos na Figura 3, Figura 4 e Figura 5.



Caso o valor de St’ seja diferente dos disponíveis nos ábacos, é necessário a interpolação dos valores de C1 e C2 antes de calcular o fator de correção final. Para o caso em que o St for maior do que 72in pode-se utilizar o ábaco de rodas duplas para a interpolação. Isso ocorre pois o ábaco de rodas duplas é um caso especial do tandem duplo em que o espaçamento entre eixos tende ao infinito.
Quando St=120in o fato de conversão de duplo tandem não é muito diferente do obtido para rodas duplas, isso por que as rodas estão tão distantes que não geram grandes influências no bulbo de tensões.
Huang (2004) relata que muitas vezes a adição da rodas em tandem reduz valor da deformação crítica de tração, isso devido o efeito compensatório que as rodas adicionais causam. Entretanto, a interação entre as rodas é praticamente imprevisível como pode ser observado nas curvas irregulares dos ábacos de tandem duplo.
Esse artigo foi útil para você? Compartilhe esse artigo para que outras pessoas entendam esse conceito da Mecânica dos Pavimentos. Se tiver dúvidas, deixe nos comentários que elas serão respondidas!
Siga nas redes sociais abaixo para acompanhar nosso trabalho!
FONTES:
BALBO, José Tadeu, “PAVIMENTAÇÃO ASFÁLTICA: Materiais, projeto e restauração”. São Paulo, 2007.
FAXINA, A.L; “Notas de Aulas da disciplina de Análise de tensões e deformações em Pavimentos“. Escola de Engenharia de São Carlos (USP-EESC). São Carlos, 2019.
HUANG, Y.H. “Pavement Analysis and Design”. Second Edition. New Jersey, 2004.
MEDINA, J; MOTTA, L.M.G. “Mecânica dos Pavimentos”. Rio de Janeiro, 2015.
MALLICK, R.B; EL-KORCHI, T. “PAVEMENT ENGINEERING: PRINCIPLES AND PRACTICE”. CRC PRESS: Second Edition. Florida, 2013.
PRIETO, Valter; “Notas de Aulas da disciplina de Superestrutura Rodoviária”. Centro Universitário da FEI. São Bernardo do Campo, 2016.
PEIXOTO, Creso de Franco; “Generalidades de Pavimentação Rodoviária”. Rio Claro, 2003.



1 comentário