
No último artigo sobre Pavimentos de Concreto nós conversamos um pouco sobre o cálculo de tensões e deformações devido a solicitação causada pelo tráfego. Entretanto, foi informado que aquelas equações consideram apenas a aplicação de uma roda sobre o pavimento, algo totalmente irreal quando considerado um veículo rodoviário.
Dessa forma, precisamos de algumas alterações ou a introdução de um conceito para que o peso total do veículo (mais rodas) sejam consideradas na solicitação do pavimento. Quando um conjunto de rodas solicita o pavimento é necessário que essa carga seja convertida em uma área circular equivalente, contemplando o peso total.
Entretanto, para pavimentos flexíveis é considerado que a carga do veículo é distribuída na área de contato das rodas e isso resulta em tensões e deflexões maiores, e dessa forma para pavimentos de concreto a carga total deve ser aplicada em uma área maior.
Segundo Huang (2004) resultados satisfatórios foram obtidos quando considerado a área de contato das rodas e mais a área entre as rodas, como a Figura 1. Dessa forma, o comprimento L da Figura pode ser encontrado pela Equação 1.


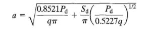
Por fim, substituindo L no cálculo da área circular equivalente para distribuição da carga em pavimentos de concreto, podemos encontrar o raio de contato equivalente para a aplicação das duas rodas pela Equação 2.

Com isso, o problema fica solucionado para a aplicação de duas rodas utilizando as equações descritas no artigo anterior sobre cálculo de tensões devido o tráfego. Basta fazer a substituição do raio de contato da roda única pelo raio de contato encontrado pela Equação 2.
Esse artigo foi útil para você? Compartilhe esse artigo para que outras pessoas entendam esse conceito dos pavimentos de concreto. Se tiver dúvidas, deixe nos comentários que elas serão respondidas!
Siga nas redes sociais abaixo para acompanhar nosso trabalho!
FONTES:
BALBO, José Tadeu, “PAVIMENTOS DE CONCRETO”. São Paulo, 2009.
FAXINA, A.L; “Notas de Aulas da disciplina de Análise de tensões e deformações em Pavimentos“. Escola de Engenharia de São Carlos (USP-EESC). São Carlos, 2019.
HUANG, Y.H. “Pavement Analysis and Design”. Second Edition. New Jersey, 2004.
MEDINA, J; MOTTA, L.M.G. “Mecânica dos Pavimentos”. Rio de Janeiro, 2015.
MALLICK, R.B; EL-KORCHI, T. “PAVEMENT ENGINEERING: PRINCIPLES AND PRACTICE”. CRC PRESS: Second Edition. Florida, 2013.
PRIETO, Valter; “Notas de Aulas da disciplina de Superestrutura Rodoviária”. Centro Universitário da FEI. São Bernardo do Campo, 2016.
PEIXOTO, Creso de Franco; “Generalidades de Pavimentação Rodoviária”. Rio Claro, 2003.


