
Qualquer pessoa que queira estudar a mecânica dos materiais precisa estudar a teoria da elasticidade, não é mesmo? Pois bem, Joseph Boussinesq (1842-1929), discípulo do Engenheiro Francês Saint-Venant que trouxe grandes contribuições para a teoria da elasticidade como o princípio de Saint-Venant, foi quem desenvolveu uma solução geral da teoria da elasticidade de meios semi finitos homogêneos. A qual é uma teoria muito importante para o estudo de tensões e deformações em pavimentos, quando estes são constituídos de apenas uma camada.
As equações de boussinesq (1885) foram desenvolvidas para o caso de uma carga concentrada vertical aplicada sobre a superfície. A teoria da elasticidade para um espaço elástico semi-infinito considera que:
- O material é homogêneo
- O material é um espaço semi-infinito
- Material isotrópico
- Não existe esforços cisalhantes na superfície
- Considera o módulo de elasticidade e o coeficiente de poisson do material, obedecendo a Lei de Hooke generalizada.



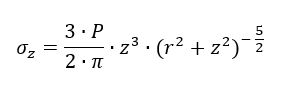
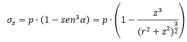
Como em pavimentos as cargas são distribuídas em uma área de contato pneu-pavimento circular as equações podem ser reescritas para essas condições, sendo consideradas como uma extensão das soluções propostas por boussinesq, conforme Figura 2, Equação 3. A pressão “p” é considerada como sendo aplicada em uma área circular com raio “a”. A Figura 3 ilustra o ábaco utilizado para cálculo de tensões verticais na teoria de Boussinesq.



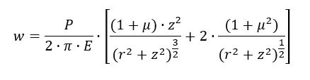
A deflexão na superfície, ou seja quando z é igual a zero, pode ser obtido pela Equação 4. Para um ponto de análise tangenciando a carga na superfície, a deflexão pode ser calculada pela Equação 5.


O último termo das equações propostas para o cálculo das deflexões é chamado de fator de deflexão, e foram criados ábacos para encontrar este fator, conforme Figura 4. Quanto mais distante for o ponto de análise da carga menor será o fator de deflexão, ou seja, menores os deslocamentos. A Figura 4 ilustra o ábaco para cálculo da deflexão no maciço, muito utilizado para métodos de dimensionamento da carga de roda simples equivalente.

Embora tenham sido de grande ajuda para a época em que foram formuladas, 1885, as equações não eram muito adequadas para o uso em pavimentos. Isso por que não era possível considerar o efeito da rigidez de diferentes camadas e como seria a distribuição de tensões.
Dessa forma, as equações de boussinesq só seriam aplicáveis para pavimentos em que todas as camadas tivessem um módulo de elasticidade igual ou muito semelhante, ou então para uma primeira hipótese de um pavimento com revestimento delgado de tal forma que a camada pudesse ser desconsiderada.
Com o passar dos anos e observando as dificuldades enfrentadas com as equações de Boussinesq, o Engenheiro Geotécnico Donald Burmister formulou uma solução baseada nas equações de boussinesq para calcular tensões e deflexões em duas camadas (1943) e em 3 camadas (1945).
Esse artigo foi útil para você? Compartilhe esse artigo para que outras pessoas entendam esse conceito da mecânica dos pavimentos. Se tiver dúvidas, deixe nos comentários que elas serão respondidas!
Siga nas redes sociais abaixo para acompanhar nosso trabalho!
FONTES:
BALBO, José Tadeu, “PAVIMENTAÇÃO ASFÁLTICA: Materiais, projeto e restauração”. São Paulo, 2007.
FAXINA, A.L; “Notas de Aulas da disciplina de Análise de tensões e deformações em Pavimentos“. Escola de Engenharia de São Carlos (USP-EESC). São Carlos, 2019.
HUANG, Y.H. “Pavement Analysis and Design”. Second Edition. New Jersey, 2004.
MEDINA, J; MOTTA, L.M.G. “Mecânica dos Pavimentos”. Rio de Janeiro, 2015.
MALLICK, R.B; EL-KORCHI, T. “PAVEMENT ENGINEERING: PRINCIPLES AND PRACTICE”. CRC PRESS: Second Edition. Florida, 2013.
PRIETO, Valter; “Notas de Aulas da disciplina de Superestrutura Rodoviária”. Centro Universitário da FEI. São Bernardo do Campo, 2016.
PEIXOTO, Creso de Franco; “Generalidades de Pavimentação Rodoviária”. Rio Claro, 2003.



5 comentários