
Os pavimentos de concreto ficam submetidos a tensões relacionadas a variação de temperatura entre o dia e a noite, sendo que essas tensões podem ser elevadas nesses pavimentos.
Durante o dia, o topo do pavimento de concreto fica exposto a radiação solar o qual aquece a sua superfície e dessa forma a temperatura no topo é maior que a temperatura do fundo. Essa diferença de temperatura faz com que o topo do pavimento tenha tendência de expandir em relação a linha neutra e o fundo tende a contrair.
Entretanto, o peso próprio do material restringe esses movimentos de expansão e retração gerando tensões de compressão no topo e tração no fundo durante o dia. Durante a noite ocorre o oposto, o topo apresenta uma temperatura menor que o fundo e com isso o topo sofre tensões de tração e o fundo tensões de compressão. Em 1926, Westergard desenvolveu equações para determinar as tensões de empenamento térmico em pavimentos de concreto com base na teoria das placas. A Figura 1 ilustra o empenamento térmico com diferencial térmico positivo e a Figura 2 um empenamento térmico com diferencial térmico negativo.

Figura 1 – Diferencial térmico positivo.

Figura 2 – Diferencial térmico negativo.
EMPENAMENTO EM PLACAS INFINITAS
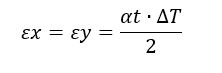
Uma placa sofre solicitação nas duas direções, e dessa forma a deformação de uma direção sofre também influência da outra. A Equação 1 apresenta o cálculo da deformação na direção x e na direção y, o qual depende das tensões nas direções x e y, do modulo de elasticidade do concreto e do coeficiente de poisson.
A análise do empenamento térmico em placas infinitas baseia-se que a distribuição de temperatura é linear ao longo da espessura da placa de concreto, o que na verdade não é verdade pois a distribuição da temperatura é não linear conforme indica os experimentos de campo.

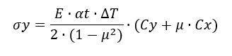
Como o empenamento térmico ocorre nas duas direções, as tensões nas direções x e y devem ser somadas para obter a tensão total. A tensão máxima na placa de concreto infinita devido o empenamento ocorre assumindo que ela esteja totalmente restringida nas direções x e y e com isso a deformação máxima será função da variação de temperatura e do coeficiente de expansão térmica, conforme Figura 3.

Dessa forma, a deformação máxima pode ser expressa pela Equação 2.

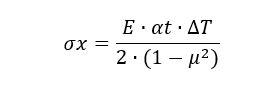
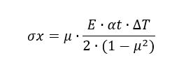
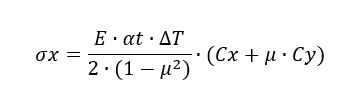
A tensão em x devido o empenamento na direção x fica definido pela Equação 3, a qual também descreve a tensão em y devido o empenamento em y. Com o mesmo raciocínio a tensão em x devido o empenamento em y fica definido pela Equação 4.


Com isso, a tensão total na direção x é a soma das duas parcelas, o qual resulta na equação 5.

EMPENAMENTO EM PLACAS FINITAS
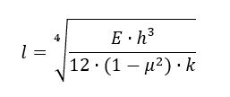
Para o caso de placas finitas, o problema fica resolvido considerando um comprimento Lx na direção x e um comprimento Ly na direção y. Com isso, através do ábaco proposto por Bradbury (1938) com análises das equações de Westergaard (1926). O ábaco é apresentado na Figura 4, o qual depende do comprimento da placa nas direções x e y e do raio de rigidez relativa, Equação 6 onde k é o módulo de reação do subleito em pci.


Dessa forma, a tensão total na direção x no interior da placa fica definido pela Equação 7, a tensão total na direção y no interior da placa fica definido pela Equação 8 e a tensão de empenamento na borda da placa pela Equação 9.



Esse artigo foi útil pra você? Então compartilhe com seus amigos para que eles também conheçam esses conceitos da Infraestrutura de Transportes!
Siga nas redes sociais abaixo para acompanhar nosso trabalho!
FONTES:
BALBO, José Tadeu, “PAVIMENTOS DE CONCRETO”. São Paulo, 2009.
FAXINA, A.L; “Notas de Aulas da disciplina de Análise de tensões e deformações em Pavimentos“. Escola de Engenharia de São Carlos (USP-EESC). São Carlos, 2019.
HUANG, Y.H. “Pavement Analysis and Design”. Second Edition. New Jersey, 2004.
MEDINA, J; MOTTA, L.M.G. “Mecânica dos Pavimentos”. Rio de Janeiro, 2015.
MALLICK, R.B; EL-KORCHI, T. “PAVEMENT ENGINEERING: PRINCIPLES AND PRACTICE”. CRC PRESS: Second Edition. Florida, 2013.
PRIETO, Valter; “Notas de Aulas da disciplina de Superestrutura Rodoviária”. Centro Universitário da FEI. São Bernardo do Campo, 2016.
PEIXOTO, Creso de Franco; “Generalidades de Pavimentação Rodoviária”. Rio Claro, 2003.


