
No dimensionamento dos trilhos, para a definição dos momentos fletores e das tensões atuantes no trilhos, é necessário a utilização de um parâmetro que relaciona a condição de suporte da via, ou seja, da resposta elástica da camada de lastro. No dimensionamento de Talbot, esse parâmetro é chamado de módulo de fundação da via (U), e para o dimensionamento de Zimmermann o parâmetro é chamado de coeficiente de lastro (c).
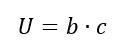
O módulo de fundação da via apresenta uma correlação onde é diretamente proporcional ao coeficiente de lastro e da largura da faixa de soca (b), conforme Equação 1.

Eisenmann (1977) recomenda os seguintes valores para coeficiente de lastro, em função da qualidade da infraestrutura:
- c = 20 N/cm³ (2 kgf/cm³) – Infraestrutura ruim
- c = 50 N/cm³ (5 kgf/cm³) – Infraestrutura boa
- c = 100 N/cm³ (10 kgf/cm³) – Infraestrutura muito boa
Outro autor que sugere valores para o coeficiente de lastro é B. Lichtberger (2005):
- c = 2 kgf/cm³ – Subleito muito ruim (Solo fino ou Areia fina)
- c = 5 kgf/cm³ – Subleito ruim (Solo coesivo, Solo mole a duro)
- c = 10 kgf/cm³ – Subleito bom (Areia ou cascalho)
- c = 15 kgf/cm³ – Subleito muio bom (Cascalho ou rocha)
- c = 30 kgf/cm³ – Substrato de concreto (pontes ou túneis)
Para os módulos de fundação da via (U) são apresentados os seguintes módulos:
- U = 960 N/cm² – Para via ruim
- U = 2880 N/cm² – Para via média
- U = 5760 N/cm² – Para via boa
As solicitações calculadas pelos métodos de dimensionamento precisam ser majoradas devido as incertezas e as simplificações dos procedimentos. Dessa forma, diversos são os modelos de majoração da carga sendo as mais conhecidas a da AREMA, recomendada por Stopatto (1987) e a de Eisenmann (1977).
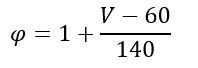
O modelo de majoração da AREMA é apresentado na Equação 2, onde V é a velocidade em quilômetros por hora e D é o diâmetro externo da roda.

Já Eisenmann (1977) recomenda um método de majoração mais rigoroso, que depende do fator de risco, da condição da superestrutura, e da velocidade do veículo. A Equação 3 apresenta a formulação geral.

Na Equação 3, t é um coeficiente que varia conforme o risco. Dessa forma:
- Risco de 68,3% – t = 1
- Risco de 95,4% – t = 2
- Risco de 99,7% – t = 3
Já o fator ρ é um fator de majoração em função do estado de conservação da via e da velocidade:
- ρ = 0,1 Φ – Superestrutura em condição muito boa
- ρ = 0,2 Φ – Superestrutura boa
- ρ = 0,3 Φ – Superestrutura ruim
- ρ = 1 – Para velocidade inferior a 60 km/h

Esse artigo foi útil para você? Compartilhe esse artigo para que outras pessoas entendam esse conceito da Infraestrutura Ferroviária. Se tiver dúvidas, deixe nos comentários que elas serão respondidas!
Siga nas redes sociais abaixo para acompanhar nosso trabalho!
Fontes:
PAIVA, C.E.L. “SUPER E INFRAESTRUTURAS DE FERROVIAS: Critérios para Projeto“. Editora Elsevier: São Paulo, 2016.
NABAIS, R.J.S; “MANUAL BÁSICO DE ENGENHARIA FERROVIÁRIA”. Oficina de Textos: São Paulo, 2015.
NETO, C.B. “MANUAL DIDÁTICO DE FERROVIAS“. Universidade Federal do Paraná: Paraná, 2018.
STOPATTO, S. “VIA PERMANENTE FERROVIÁRIA: Conceitos e aplicações“. São Paulo, 1987.


