
Até os dias de hoje o ensaio CBR é um dos mais utilizados para caracterização do material de subleito ou de camadas granulares de pavimentos. O ensaio CBR consiste de uma comparação da pressão aplicada por um pistão padronizado para penetração em um material analisado e a pressão aplicada pelo mesmo pistão para penetração em um material padrão. A pressão é analisada para penetrações de 2,54mm e 5,08mm, conforme descrito no nosso artigo sobre o ensaio CBR.
O critério CBR foi criado pelo engenheiro Porter do California Division of Highway (CDH), considerado o primeiro método de dimensionamento de pavimentos flexíveis e obtido totalmente por uma base empírica.
Como foi a criação do método?
No final da década de 1920 o ensaio CBR foi criado e adotado pelo CDH, que utilizou em diversas estradas da California espessuras diferentes de materiais granulares sobre um subleito e uma camada delgada de revestimento asfáltico. Anos mais tarde, essas estradas foram analisadas verificando se existam deformações permanentes por falha estrutural, a espessura do material granular utilizado e foram coletas amostras do material de subleito para análise em laboratório.
Com esse método simples de análise, e puramente empírico, foi possível a criação da curva de dimensionamento da Figura 2, chamada de Curva B, que seria a curva de dimensionamento de pavimentos para um eixo padrão da época com carga de 30kN. Essa curva foi definida de tal forma que as estradas analisadas que apresentavam espessura de material granular abaixo da curva tinham deformações permanentes devido a ruptura por cisalhamento, e estradas com espessuras maiores do que as da curva (para o mesmo CBR) não apresentavam a ruptura definida como critério.

Dessa forma, o critério CBR apresentava fácil entendimento e aplicação pelos engenheiros. Contudo, após a mudança de chefe de laboratório do California Division of Highway o critério CBR foi abandonado e só retornou durante a Segunda Guerra Mundial.
O método CBR na Segunda Guerra Mundial
Segundo Balbo (2007) o que motivou a volta do critério CBR para dimensionamento de pavimentos foi a necessidade de um método simples, de rápida aplicação e avaliação da capacidade de carga dos solos para construção de pistas de pouso e decolagem durante a segunda grande guerra, em especial nas ílhas do pacífico.
Com isso, foi realizado pela USACE em 1942 o mesmo procedimento de avaliação dos pavimentos do CDH para obter uma curva de dimensionamento para as aeronaves mais utilizadas na época, chamada de Curva A. Essa curva era representativa para aeronaves com carga de 53kN no trem de pouso, conforme Figura 3. Contudo, devido a situação de Guerra era necessário uma expansão desse critério para cargas maiores, de aeronaves de transporte de equipamentos.

Dessa forma, foi utilizada a teoria de Boussinesq para expansão do critério. Inicialmente foi calculada a tensão de cisalhamento causada pela carga de 53kN em diferentes espessuras e valores de resistência do subleito obtidos pela Curva B. Sabendo a tensão de cisalhamento para um dado CBR, foi possível definir para uma carga maior qual era a espessura necessária para causar a mesma tensão de cisalhamento em função do CBR.
Esse critério foi aplicado para extrapolar as curvas para cargas de 111kN, 178kN e 311kN no trem de pouso, conforme Figura 4.

A primeira Equação de dimensionamento de Pavimentos em Função do CBR
Em 1956 os pesquisador Ahlvin, Foster e Turnbull da United States Army of Engineers (USACE) apresentaram a primeira equação em função do CBR para dimensionamento de pavimentos flexíveis, conforme Equação 1. Nessa equação, a espessura do pavimento (t) é relacionada com o CBR, a área de contato pneu-pavimento (A) e a carga de roda simples equivalente (CRSE).

A carga de roda simples equivalente consiste em uma aplicação da teoria de Boussinesq (1885) através do equacionamento das deflexões em um sistema real e um sistema equivalente. Dessa forma, a carga de roda simples equivalente representa uma única carga no sistema equivalente que reproduz a mesma deflexão de múltiplas cargas de um sistema real, sendo calculado pela Equação 2. Vale ressaltar que no sistema equivalente, a CRSE apresenta a mesma área de aplicação da carga de uma roda do sistema real, mas não apresenta a mesma pressão de contato.

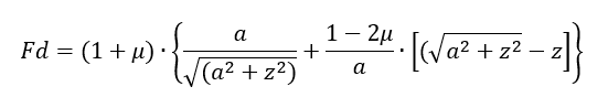
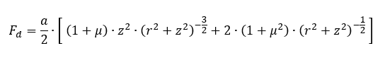
Os fatores deflexão (Fi) mencionados na Equação 2 variam conforme o ponto de análise da estrutura, podendo ser calculados por equações ou pelos ábacos mencionados no artigo da teoria de Boussinesq. Para a vertical abaixo do centro da roda o fator deflexão (Fd) pode ser calculado pela Equação 3. Para a borda do carregamento, o fator deflexão na superfície pode ser calculado pela Equação 4. Para os demais pontos de análise distantes da área carregada, o fator deflexão pode ser calculado pela Equação 5.



Aplicação da Equação para dimensionamento de Pavimento Aeroportuário
Utilizando as equações mencionadas, vamos considerar uma Aeronave da Airbus A320. Essa aeronave apresenta um carga máxima de decolagem de 79 toneladas, distribuídas no trem de pouso principal de rodas duplas. Segundo informações do manual técnico da aeronave em questão, 92,6% da carga é distribuída nas rodas do trem de pouso principal. A Figura 5 apresenta algumas informações da aeronave e do trem de pouso.

Com essas informações, podemos definir alguns pontos de análise e calcular as distancias radiais do centro da área carregada até o ponto de análise. Para este exemplo, vamos utilizar o centro de uma roda (A), a borda da carga (B) e o centro de gravidade do trem de pouso (C). As distâncias radiais são apresentadas no Quadro 1 e os fatores deflexão para os pontos de análise no Quadro 2.


Dessa forma, podemos criar um gráfico para analisar os fatores de deflexão. Percebemos que nos primeiros centímetros de análise o Ponto A (Centro da roda) é o ponto mais crítico, contudo, a medida que aumentamos a espessura o fator de deflexão de todos os pontos diminuem. Com isso, a partir de 70 centímetros o ponto crítico para análise da deflexão é a vertical do centro de gravidade do trem de pouso, conforme Figura 6.

Por definição, a carga de roda simples equivalente é a soma máxima dos fatores deflexão para o ponto analisado. Dessa forma, podemos obter a carga de roda simples equivalente para cada ponto e o máximo analisado, conforme Quadro 3 e Figura 7.


Por fim, utilizando a Equação 1 podemos assumir espesssuras para calcular a CRSE em função de diversos valores de CBR. Dessa forma, obtemos a curva de dimensionamento para a aeronave em questão, conforme Figura 8.

A Equação da USACE foi modificada em 1959 e na década de 60 para incorporar inicialmente o fator de repetições de carga, através de um número de coberturas C, e o fator alfa que consiste de um fator aplicado apenas para aeronaves widebody, respectivamente. As equações descritas inicialmente eram representativas para um valor de 5000 coberturas, sendo que uma cobertura ocorre quando o pavimento apresenta sua máxima resposta estrutural (A Guide to Airfield Pavement Design and Evaluation, 2011) ou quando todos os pontos de uma faixa lateral útil de contato dos pneus foram solicitados pelo menos uma vez (Balbo, 2007).
Dessa forma, quando a aeronave de projeto apresentava mais do que 5000 coberturas era necessária uma correção, conforme Equação 6. O número de passagens para que ocorra uma cobertura varia conforme o trem de pouso da aeronave.

Agora, posso utilizar esse método de dimensionamento para cargas rodoviárias? Qual as implicações desse método? Vamos discutir esses e outros assuntos e mostrar aplicações em um próximo artigo. Portanto, siga nosso blog para receber as notificações.
Esse artigo foi útil para você? Então compartilhe com outras pessoas para elas também aprendam a aplicação da carga de roda simples equivalente e como dimensionar pavimentos para aeronaves pelo critério CBR. Ficou com dúvidas? Deixe nos comentários que elas serão respondidas!
Siga nas redes sociais abaixo para acompanhar nosso trabalho!
Referências Bibliográficas:
A Guide to Airfield Pavement Design and Evaluation. Design and Maintenance Guide 27. 2011.
BALBO, J.T. PAVIMENTAÇÃO ASFÁLTICA: Materiais, projeto e restauração. São Paulo, 2007.
HUANG, Y.H. Pavement Analysis and Design. Second Edition. New Jersey, 2004.
MEDINA, J; MOTTA, L.M.G. Mecânica dos Pavimentos. Rio de Janeiro, 2015.
MALLICK, R.B; EL-KORCHI, T. PAVEMENT ENGINEERING: PRINCIPLES AND PRACTICE. CRC PRESS: Second Edition. Florida, 2013.
TURNBULL, W. J.; FOSTER, C. R.; AHLVIN, R. G. Mathematical expression of the CBR relations. Waterways Experiment Station, Corps of Engineers: U.S. Army, 1956.
TURNBULL, W. J.; FOSTER, C. R.; AHLVIN, R. G. Design of flexible pavements considering mixed loads and traffic volume. 1962.



Bom dia, como calculou o Fd na borda do carregamento na profundidade z?
CurtirCurtir