Deformação Permanente – Descubra como e por que os pavimentos afundam!

34_3c
Figura 1 – Deformação Permanente na Trilha de Roda. Fonte da Figura: https://www.roadex.org/

No processo de aprendizagem, nós engenheiros estudamos diversas disciplinas que ditam o comportamento de estruturas, como a resistência dos materiais e a teoria das estruturas. No dimensionamento de qualquer estrutura existe um critério de falha, definido para que quando o carregamento solicitante for maior que admissível ocorre a falha do elemento estrutural.

Os pavimentos, assim como estruturas de vigas e pilares, também assumem critérios de ruptura para dimensionamento da estrutura. Entretando, os pavimentos apresentam uma particularidade que muitos consideram como previlégio e que, muitas vezes, é utilizado como justificativa para as negligências que ocorrem nesse tipo de estrutura.

Qual é esta particularidade? Bom, os pavimentos não caem! Mas, não fique feliz pois eles afundam! Nesse artigo vamos discutir como e por que ocorre o afundamento de pavimentos.

O que é a Deformação Permanente de Pavimentos Asfálticos?

Hwy_71_Rutting_Mod
Figura 2 – Deformação Permanente em Rodovia. Fonte da Figura: https://cttp.uark.edu/

A deformação permanente é um dos defeitos estruturais de pavimentos flexíveis (se você não conhece quais são os defeitos de pavimentos, Clique aqui), e também um dos defeitos mais comuns que ocorrem em pavimentos. Contudo, a deformação permanente pode ocorrer em pavimentos por alguns fatores.

O primeiro fator que leva a formação de deformações permanentes nos pavimentos é a densificação adicional gerada pelo tráfego. A densificação ocorre após a liberação do tráfego no pavimento, em um período chamado de consolidação, onde a passagem dos eixos de veículos geram esforços no pavimento que reduzem o volume de vazios.

O segundo fator que resulta na formação de deformações permanentes é uma combinação do fluxo da mistura asfáltica com o dano causado pelos veículos. Nas misturas asfálticas, como o material apresenta um comportamento viscoelástico (leia mais sobre isso, clique aqui), quando o pavimento é solicitado por uma carga qualquer ocorre a deformação da estrutura, sendo que após a atuação da carga parte da deformação é recuperada de forma praticamente instantânea (parcela elástica) e parte é recuperada em função do tempo (parcela viscosa). Contudo, uma parte dessa deformação não é recuperada e se acumula ao longo do tempo, chamada de fluência da mistura asfáltica.

A deformação permanente ocorre apenas no revestimento asfáltico?

A deformação permanente é um defeito estrutural, ou seja causado pelo tráfego, e pode ocorrer tanto no revestimento como também nas demais camadas do pavimento. O método de dimensionamento do DNER (1981) e atual DNIT (Leia sobre este método de dimensionamento, clique aqui) considera a proteção do subleito, evitando dessa forma a ruptura por cisalhamento e consequentemente a deformação permanente das camadas.

Além da ruptura por cisalhamento, outro fator que pode levar as camadas de pavimentos apresentarem deformação permanente é a densificação do tráfego conforme mencionado. O erro no número de passagens de rolo compactador em camadas granulares, ou a compactação fora da umidade ótima, pode resultar em vazios na mistura que serão consolidados pelo tráfego. Nas camadas inferiores do pavimento, a ação da água ou o bombeamento de finos pode também influenciar para o afundamento da camada, a qual ocorre pela desestruturação e o aumento dos vazios.

Ou seja, a deformação permanente não é um defeito exclusivo dos revestimentos asfálticos e pode ocorrer também em pavimentos que apresentam apenas camadas granulares, como ocorre por exemplo na mineração e no agronegócio. A Figura 3 ilustra a deformação permanente em camadas granulares.

32_4
Figura 3 – Deformação Permanente em Camadas Granulares. Fonte da Figura: https://www.roadex.org/

Como medir a deformação permanente das misturas asfálticas em laboratório?

Existem alguns ensaios para medir a resistência dos materiais a deformação permanente ao longo de determinado período ou de um certo número de ciclos. Aqui daremos ênfase em 2 principais ensaios e em simuladores de tráfego.

Ensaio Creep Estático

Direct-Compression-and-Tension-Measurement-System-Updated
Figura 4 – Ensaio Creep Estático. Fonte da Figura: https://www.cooper.co.uk/

O ensaio de Creep Estático, ou fluência estático, é um ensaio simples utilizado para mensurar a deformação permanente. Segundo Bernucci et al (2008) este ensaio é utilizado no Brasil com aplicação de uma carga em compressão, contudo pode ser realizado também com torção, flexão ou tração.

O ensaio consiste na aplicação do carregamento estático por um certo período de tempo em um corpo de prova cilíndrico, sendo que pode ser moldado em laboratório ou extraído de campo. O corpo de prova possui diâmetro de 101mm e altura de 51mm com tolerância de 2mm.

Segundo o Departamento de Transportes do Texas (TxDOT Tex-231-F) o corpo de prova deve ser permanecer em estufa a 40°C durante um período de 3 a 5 horas para garantir equilíbrio térmico. Após esse período, o corpo de prova passa por um carregamento inicial o qual tem como objetivo uniformizar o contato com a prensa. O carregamento inicial consiste de 3 ciclos de carga com aplicação 556N, sendo 1 minuto de aplicação de carga e 1 minuto de descanso por ciclo.

Em seguida, o ensaio pode ser realizado com a aplicação da carga de 556N pelo período de 1 hora no corpo de prova. Após esse período, o carregamento é retirado e o CP repousa por 10minutos, sendo que nesse período ocorre a recuperação de uma parcela das deformações. Durante o ensaio, o deslocamento é lido com extensômetros acoplados no CP ou na própria placa de carregamento, resultando no gráfico do ensaio conforme Figura 5.

art
Figura 5 – Gráfico Deformação por tempo. Fonte da Figura: TxDOT Tex-231-F

Ensaio Creep Dinâmico

O ensaio creep dinâmico consiste na aplicação de pulsos de carga ao corpo de prova com critérios definidos, tais como frequência, tempo de aplicação de carga, temperatura e intervalo entre aplicações da carga. No Brasil, o ensaio creep dinâmico ou uniaxial de carga repetida é especificado pela DNIT 184/2018, onde o corpo de prova é preparado segundo a DNIT 178/2018 com diâmetro de 102mm e altura de 150mm, admitindo variação de 2mm e 2,5mm, respectivamente.

Antes de iniciar o ensaio, o corpo de prova deve ser colocado em estufa a uma temperatura de 60°C por período mínimo de 3 horas, para que o equilíbrio térmico seja alcançado. Assim como ocorre no creep estático, um carregamento inicial de 10,2kPa é aplicado por 1 minuto. Após o carregamento inicial, inicia-se o carregamento cíclico com aplicação da carga durante 0,1 segundos e repouso de 0,9 segundos. O carregamento cíclico é mantido até que o final do ensaio, o qual é caracterizado pela ruptura do corpo de prova (zona terciária) ou pelo período de 2 horas. A magnitude da carga varia de 10,2kPa até 204kPa.

A Figura 6 ilustra as zonas do gráfico deformação por ciclos de carga. A zona primária é aquela em que a taxa de deformação diminui em função dos ciclos, com elevada taxa de queda, sendo que é a deformação permanente nesta zona é em decorrência da consolidação e da fluência. A zona secundária é aquela em que a taxa de deformação continua diminuindo mas com redução, e a deformação permanente é devido a fluência da mistura asfáltica. A zona terciária é a região que caracteriza o cisalhamento da mistura asfáltica, com aumento exponencial da deformação permanente.

O limite entre a zona secundária e zona terciária é definida pela taxa mínima de deformação permanente, sendo assim determinado o Flow Number (FN).

art2
Figura 6 – Gráfico do Creep Dinâmico. Fonte da Figura: DNIT 184/2018.

Simulador de Tráfego de Laboratório

Uma outra forma de analisar se uma mistura apresenta boa resistência a deformações permanentes é através de simuladores de tráfego. O uso de simuladores representa uma forma de análise mais próxima daquilo que a mistura estará submetida em campo, contudo, a análise de laboratório precisa de calibração para a previsão de desempenho.

Um exemplo de simulador utilizado é aquele desenvolvido no laboratório francês (Laboratoire Central des Ponts et Chaussées), abreviado por Simulador LCPC. Neste simulador, a mistura é inicialmente compactada na mesa compactadora, o qual consiste na compactação por amassamento com um pneu de carga e pressão de inflação regulável. A placa compactada possui 500mm de comprimento e 180mm de largura (dimensão padrão), sendo que a espessura pode ser 50mm e 100mm.

O ensaio de deformação permanente segue a especificação francesa NF P 98-253-1. O simulador apresenta 2 rodas, sendo uma de cada lado do equipamento, onde a carga e a pressão podem ser ajustadas. O ensaio é realizado em 2 placas simultaneamente, sendo que o afundamento é medido em diversos pontos da placa (transversal e longitudinal), e em temperatura de 60°C. A Figura 7 ilustra a mesa compactadora e o simulador de tráfego.

lcpc
Figura 7 – Mesa compactadora (esquerda) e simulador LCPC (direita). Fonte da Figura: VALE (2008)

A Figura 8 ilustra o gráfico obtido no simulador de tráfefo LCPC, através da análise de uma mistura asfáltica com ligante não modificado e outra mistura asfáltica com ligante modificado por polímeros.

exemplo
Figura 8 – Análise de deformação permanente no Simulador LCPC. Fonte: Autor (2020)

O que influencia na resistência a deformação permanente?

O principal fator que influencia na resistência a deformação permanente das misturas asfálticas é a distribuição granulométrica da mistura, bem como o modo como esses agregados estão distribuídos no material. O intertravamento dos agregados aumenta a resistência ao cisalhamento das misturas asfálticas, melhorando seu desempenho a fadiga.

Isso pode ser observado por exemplo com o uso de misturas asfálticas do tipo Stone Matrix Asphalt (SMA), o qual você pode conhecer mais clicando aqui. A Figura 9 ilustra a comparação entre distribuição granulométrica do SMA e do CBUQ.

sma e cbuq
Figura 9 – Comparação da granulometria do SMA (esquerda) e CBUQ (direita). Fonte da Figura: North Dakota Asphalt Conference (2013)

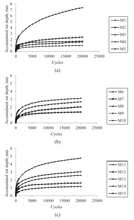
Chowdari et al (2017) analisaram 15 diferentes misturas asfálticas, variando 10 diferentes faixas granulométricas, energia de compactação e o tipo de ligante, conforme Tabela 1.  Sendo as 3 primeiras faixas granulométricas segundo especificação da Índia, faixa 4 com especificação do Texas, faixa 5 um Gap Graded, faixa 6 próxima a densidade máxima com agregado nominal máximo de 19mm e as 4 últimas faixas granulométricas são variações da especificação da Índia.

art23
Tabela 1 – Misturas asfálticas analisadas. Fonte: Chowdari et al (2017)

As misturas foram moldadas com 7% de vazios e analisadas no simulador de tráfego, obtendo o gráfico da Figura 10. Observa-se nas misturas M11 e M12 que o aumento da energia de compactação diminui o afundamento. Nas misturas M11 e M14 observa-se que o uso de um ligante de menor viscosidade (maior penetração) piora o desempenho da mistura. Nas misturas M5 e M15 o uso de um ligante do tipo asfalto borracha melhora o desempenho da mistura asfáltica quanto a deformação permanente. Na mistura M1 e M11 a dosagem Superpave apresentou desempenho melhor que a mesma mistura com dosagem Marshall.

sss
Figura 10 – Resultado do simulador de tráfego nas diferentes misturas asfálticas. Fonte: Chowdari et al (2017)

Bahia, Tashman e Sefidmazgi (2013) utilizaram o software iPAS para análise da estrutura interna das misturas asfálticas através de imagens e verificar a influência de alguns parâmetros na deformação permanente das misturas asfálticas. Os pesquisadores analisaram o número de agregados, número de agregados em contato, comprimento de contato entre agregados, o vetor magnitude e o ângulo do plano de contato. A Figura 11 ilustra 3 misturas asfálticas analisadas por imagens pelos autores.

save
Figura 11 – Análise da estrutura interna das misturas asfálticas por imagens. Fonte: Bahia, Tashman e Sefidmazgi (2013)

Os autores analisaram a correlação entre os parâmetros de imagem observadas e o Flow Number de diversas misturas asfálticas. Bahia, Tashman e Sefidmazgi (2013) observaram que o número de agregados em contato, bem como o comprimento de contato, apresentam forte correlação conforme Figura 12. Entretanto, o vetor magnitude e o ângulo de orientação do plano de contato não apresentam boa correlação com o valor de FN, conforme Figura 13.

as2
Figura 12 – Correlação entre número de contatos e comprimento e contato com o FN. Fonte: Bahia, Tashman e Sefidmazgi (2013)
as12
Figura 13 – Correlação entre vetor magnitude e ângulo de orientação do plano de contato com o FN. Fonte: Bahia, Tashman e Sefidmazgi (2013)

Além disso, os autores observaram que o uso de ligantes modificados influenciam e melhoram o desempenho de deformação permanente das misturas, pois estes afetam a estrutura interna da mistura devido as propriedades reológicas dos ligantes. Este tipo de influência pode ser observada também na classificação Superpave, através do valor de Jnr (Se quiser conhecer a classificação Superpave, clique aqui)

Ou seja, não apenas os agregados mas também o ligante tem influência nesse comportamento. Como mencionado nesse artigo, o afundamento de trilha de roda pode ser causado também por erro estrutural e, dessa forma, é sempre importante a análise global. Um bom projeto estrutural com um projeto ruim de mistura asfáltica não será eficiente. Da mesma forma, um bom projeto de mistura com um projeto estrutural ruim levará a problemas estruturais.

O que achou das deformações permanentes e dos métodos para mensurar? Ficou com alguma dúvida? Deixe nos comentários que terei o maior prazer em responde-lo! Não esqueça de seguir o Além da Inércia para receber por email a notificação dos próximos artigos!

Compartilhe este artigo para que outras pessoas também possam aprender mais sobre assuntos de engenharia como este!

Siga nas redes sociais abaixo para acompanhar nosso trabalho!

60312da1fe41b1f2a8a84e4c959b4e0e

if_linkedin_circle_color_107178

aaa

Referências Bibliográficas:

BAHIA, H. TASHMAN, L. SEFIDMAZGI, N.R. INTERNAL STRUCTURE CHARACTERIZATION OF ASPHALT MIXTURES FOR RUTTING PERFORMANCE USING IMAGING ANALYSIS. ROAD MATERIALS AND PAVEMENT DESIGN, JUNE, 2012.

BERNUCCI, L.B; MOTTA, L.M.G; CERATTI, J.A.P; SOARES, J.B. “PAVIMENTAÇÃO ASFÁLTICA: FORMAÇÃO BÁSICA PARA ENGENHEIROS”. RIO DE JANEIRO, 2008

Chowdari, K.S; Radhakrishnan, G.V; Sudhakar Reddy & Rajib Chattaraj. EVALUATION OF WHEEL TRACKING AND FIELD RUTTING SUSCEPTIBILITY OF DENSE BITUMINOUS MIXES. ROAD MATERIALS AND PAVEMENT DESIGN, 2017.

MEDINA, J; MOTTA, L.M.G. “MECÂNICA DOS PAVIMENTOS. RIO DE JANEIRO, 2015.

VALE, A.F. MÉTODO DE USO DE SIMULADORES DE TRÁFEGO LINEAR MÓVEL DE PISTAS PARA A DETERMINAÇÃO DE COMPORTAMENTO E PREVISÃO DE DESEMPENHO DE PAVIMENTOS ASFÁLTICOS. Tese de Doutorado: EPUSP. São Paulo, 2008.

5 comentários

  1. É comum aqui no Nordeste, com contribuição do calor maior, pontos de frenagem e aceleração apresentarem afundamentos e trilhas de roda. Quando passo por um ponto desses, fico sempre imaginando o que teria causado e sempre me vem a mente: excesso de ligante, fluência baixa, estabilidade baixa e mistura fina demais (na realidade tudo está correlacionado).

    Curtir

Deixe uma resposta