
Há dois métodos mais consagrados para dimensionamento de trilhos ferroviários, ambos baseiam-se na consideração da grade apoiada em um meio elástico, ou seja, o modelo é semelhante a uma viga solicitada sobre uma fundação deformável.
O procedimento de zimmermann permite adaptar o modelo da via apoiada sobre dormentes em uma sapatada corrida, proposto pelas adaptações realizadas por Eisenmann. Dessa forma, considera-se o trilho como uma sapata infinita sobre o apoio elástico.
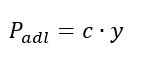
Com isso, permite estabelecer que a via férrea se deforma de acordo com a expressão de winkler, a qual a pressão atuante na interface do dormente-lastro é diretamente proporcional ao coeficiente de lastro e o recalque da via, conforme Equação 1.


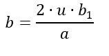
Conhecida a área de soca de cada trilho, com cálculo apresentado no artigo sobre dormentes, pode-se obter a largura da sapata (b) através do quociente entre a área de soca e o espaçamento entre dormentes, Equação 2.

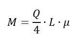
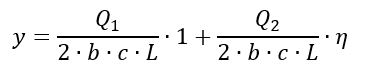
Os valores de deformação vertical (deflexão), do momento e da pressão atuante sob a face de cada dormente podem ser calculados pela Equação 3, Equação 4 e Equação 5, respectivamente. Onde, “b” é a largura da sapata, “c” é o coeficiente de lastro, “Q” é a carga por roda e “L” é o comprimento elástico.



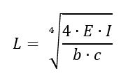
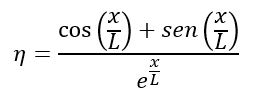
O comprimento elástico (L) varia com a raiz quarta do quociente entre a rigidez do trilho e do produto entre a largura da sapata e do coeficiente do lastro, conforme Equação 6. Já os coeficientes η (ni) e μ (mi) dependem da distância em relação ao ponto de aplicação da carga e o ponto considerado, e podem ser calculados pela Equação 7 e Equação 8.



Quando consideram-se mais de uma carga de roda é necessário analisar a superposição dos efeitos da carga, através da análise de deflexão dada pela Equação 9.

Esse artigo foi útil para você? Compartilhe esse artigo para que outras pessoas entendam esse conceito de Infraestrutura Ferroviária. Se tiver dúvidas, deixe nos comentários que elas serão respondidas!
Siga nas redes sociais abaixo para acompanhar nosso trabalho!
Fontes:
PAIVA, C.E.L. “SUPER E INFRAESTRUTURAS DE FERROVIAS: Critérios para Projeto“. Editora Elsevier: São Paulo, 2016.
NABAIS, R.J.S; “MANUAL BÁSICO DE ENGENHARIA FERROVIÁRIA”. Oficina de Textos: São Paulo, 2015.
NETO, C.B. “MANUAL DIDÁTICO DE FERROVIAS“. Universidade Federal do Paraná: Paraná, 2018.
STOPATTO, S. “VIA PERMANENTE FERROVIÁRIA: Conceitos e aplicações“. São Paulo, 1987.


