
Os blocos de fundações são estruturas que recebem as cargas dos pilares e transmitem para as estacas. Os blocos podem apresentar diversos números de estacas, dependendo da carga imposta. Antes de dimensionar a armadura do bloco é necessária a análise da altura do bloco, de forma a ser considerado como um bloco rígido de acordo com o Método das Bielas.
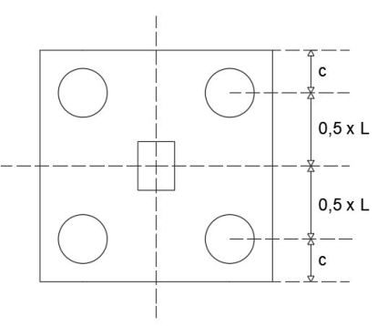
O bloco é considerado rígido quando o ângulo de distribuição está entre 45° e 55°. As dimensões em planta do bloco, exemplo com 4 estacas, são definidos pela Figura 1. A distância entre as estacas (L) é definido como 3 vezes o diâmetro da estaca, e o cobrimento (c) que é a distância entre o eixo da estaca e a face do bloco é definido como metade da estaca mais 15 centímetros.

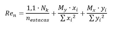
Com as dimensões em planta, pode-se determinar as reações de cada estaca utilizando os eixo padrão do bloco. A determinação consiste em determinar a somatória das distâncias “x” e “y” ao quadrado. A reação nas estavas fica definida pela Equação 1. As distâncias x a esquerda e as distâncias y abaixo do eixo são consideradas negativas. Caso a reação nas estacas seja maior do que a Carga admissível nas estacas, deve-se aumentar o número de estacas.

Para determinar a altura do bloco, deve-se considerar uma subdivisão do pilar no mesmo número de estacas. Dessa forma, encontra-se a distância entre o CG da área dividida e o centro da estaca, chamado de distância L na Figura 2.

De acordo com o bloco rígido, pode-se considerar inicialmente que o ângulo é 45°. Nessas condições, a incógnita “z”, definida como a distância da armadura até o centro das tensões no topo do bloco, é igual a distância L. Isso possibilita definir a altura do bloco como a distância da base do bloco até a armadura (d’) mais a distância L, Equação 2. A Figura 3 ilustra a vista do bloco.


É necessário determinar ainda as tensões junto ao pilar e junto a estaca. Essas verificações ocorrem analisando a carga de compressão Nk com a área e o seno do ângulo. Conforme Equação 3.

Por fim, determina-se a resistência do “tirante” (Rst) com base na reação da estaca mais solicitada. A armadura principal do bloco (As) deve ficar posicionada preferencialmente acima da cabeça da estaca e entre elas aplica-se a armadura de distribuição (Adist). A utilização de malhas únicas no bloco não é tão eficiente, chegando a 80% da eficiência da armadura da cabeça. Aplica-se também uma armadura superior (Asup) e estribos (Acost) para combater os efeitos de retração do concreto. A Equação 4 apresenta o cálculo dessas armaduras.

A Figura 4, Figura 5, Figura 6 e Figura 7 ilustram o posicionamento e detalhes das Armaduras, onde N1 representa as armaduras principais, N2 as armaduras superiores e N3 as armaduras de costela. Algumas informações importantes para um projeto foram ocultadas por tratar-se apenas de um exemplo. Na Figura 7 as incógnitas A, B e C correspondem ao número de barras.




Esse artigo foi útil para você? Compartilhe esse artigo para que outras pessoas aprendam como dimensionar blocos de fundação. Se tiver dúvidas, deixe nos comentários que elas serão respondidas!
Siga nas redes sociais abaixo para acompanhar nosso trabalho!
Fontes:
Alonso, Urbano Rodrigues; “Exercícios de Fundações“. São Paulo, 2001.
Amann, Kurt; “Notas de Aulas da disciplina de Fundações e Obras de Terra“. Centro Universitário da FEI. São Bernardo, 2016.
Aoki, Nelson; Cintra, José Carlos; Giacheti, Heraldo L; Tsuha, Cristina; “FUNDAÇÕES PROFUNDAS“. Oficina de Texto. São Paulo, 2013.
Associação Brasileira de Normas Técnicas: NBR 6122 – “PROJETO E EXECUÇÃO DE FUNDAÇÕES“. Rio de Janeiro, 1996.
Cherem, M. “Notas de Aula da Disciplina de Concreto Armado II”. Centro Universitário da FEI. São Bernardo do Campo, 2016.
Associação Brasileira de Normas Técnicas: NBR 6118 – Projeto de estruturas de concreto – Procedimento. Rio de Janeiro, 2004.
Associação Brasileira de Normas Técnicas: NBR 6122 – Projeto e execução de fundações. Rio de Janeiro, 1996.


