
O solo apresenta diversas consistências com base na umidade que apresenta. Quando o solo passa do estado sólido para Semissólido, a umidade é chamada de Limite de Contração. Do estado semissólido para plástico, ocorre o Limite de Plasticidade, e do estado plástico para líquido, chamado de Limite de Liquidez.
Esses assuntos já foram esclarecidos anteriormente por aqui. O que esses parâmetros tem em comum é que todos são identificados em laboratório, ou seja, para cada tipo de solo mudam-se os parâmetros, sendo necessário elaborar corpos de prova e ensaiar em diversas umidades.
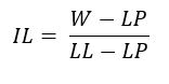
Para o caso de um solo em estado natural é definido o Índice de Liquidez, o qual mede a consistência relativa de um solo coesivo em estado natural. A Equação 1 apresenta o parâmetro.

O índice de plasticidade, que é a diferença entre Limite de Liquidez e Limite de Plasticidade, aumenta linearmente com a porcentagem de fração de argila em um solo. Para isso é definido um parâmetro chamado “Atividade do Solo”. A Atividade do Solo é a inclinação que relaciona o Índice de Plasticidade com a % de grãos finos no solo, e utilizado na Engenharia como um índice de identificação do potencial de expansão dos argilo minerais. A Equação 2 apresenta o parâmetro.

Quando a atividade do solo varia de 0,75 a 1,25 a argila é considerada normal. Para valores menores que 0,75 a argila é considerada inativa e para maiores que 1,25 ela é considerada ativa, ou seja, alto potencial de expansão.
Esse artigo foi útil para você? Compartilhe esse artigo para que outras pessoas entendam esse conceito da Mecânica dos Solos. Se tiver dúvidas, deixe nos comentários que elas serão respondidas!
Siga nas redes sociais abaixo para acompanhar nosso trabalho!
Fontes:
DAS, B.M; SOBHAM, K; “FUNDAMENTOS DE ENGENHARIA GEOTÉCNICA“. 8º Edição. California: Cengage Learning, 2010
HUMES, C. “NOTAS DE AULA DA DISCIPLINA DE MECÂNICA DOS SOLOS“. São Bernardo do Campo, 2015.


