Como dimensionar a armadura de Estacas em Fundações

5
Imagem: http://construcaomercado17.pini.com.br/

As Estacas são fundações profundas utilizadas quando o solo não é resistente, ou quando a carga de um pilar exige uma maior capacidade de carga. Os artigos referentes a Capacidade de Carga e Carga admissível podem ser encontrados nos links ou consultando a categoria de Geotecnia.

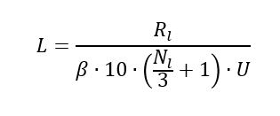
Além de determinar o comprimento de estaca para resistir as cargas, dimensionamento geotécnico, exige-se o posicionamento de uma armadura para resistir aos esforços internos. Segundo a NBR 6122, para o dimensionamento estrutural deve-se calcular a tensão na cabeça da estaca. A Equação 1 apresenta o cálculo da tensão na cabeça da estaca.

1
Equação 1 – Tensão na cabeça da estaca.

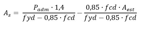
Quando a tensão na cabeça da estaca for inferior a 6 MPa, deve-se utilizar apenas uma armadura mínima. Essa armadura tem como função a transferência de cargas entre o pilar e a estaca. A Equação 2 apresenta o cálculo da área de aço em estacas, onde fcd é o fck minorado com o fator de segurança de 1,8 segundo a NBR 6122.

2
Equação 2 – Armadura em Estacas

Como as estacas só precisam ser armadas até a tensão de 6MPa, o cálculo do comprimento de armadura é função da carga nominal resultante dessa tensão. Ao longo do fuste das estacas a tensão diminui em função do atrito lateral. Logo, sabendo a Carga nominal resultante de 6MPa e a Carga admissível de projeto, determina-se o atrito lateral necessário e com isso o comprimento da armadura é encontrado através da Equação 3, deduzida com base na Equação de Decourt-Quaresma.

3
Equação 3 – Comprimento de Armadura.

Para o caso de estacas com esforços de tração, recomenda-se a armar em todo o fuste. A Equação 4 apresenta o cálculo de aço para estacas em tração.

4
Equação 4 – Área de aço para estacas tracionadas.

Esse artigo foi útil para você? Compartilhe esse artigo para que outras pessoas a dimensionar a armadura de estacas para uma fundação profunda. Se tiver dúvidas, deixe nos comentários que elas serão respondidas!

Siga nas redes sociais abaixo para acompanhar nosso trabalho!

60312da1fe41b1f2a8a84e4c959b4e0e

if_linkedin_circle_color_107178

aaa

Fontes:

Alonso, Urbano Rodrigues; “Exercícios de Fundações“. São Paulo, 2001.

Amann, Kurt; “Notas de Aulas da disciplina de Fundações e Obras de Terra“. Centro Universitário da FEI. São Bernardo, 2016.

Aoki, Nelson; Cintra, José Carlos; Giacheti, Heraldo L; Tsuha, Cristina; “FUNDAÇÕES PROFUNDAS“. Oficina de Texto. São Paulo, 2013.

Associação Brasileira de Normas Técnicas: NBR 6122 – “PROJETO E EXECUÇÃO DE FUNDAÇÕES“. Rio de Janeiro, 1996.

4 comentários

    1. Ola Laura, a equação consiste na equação proposta por Decourt Quaresma para a resistencia lateral de estacas. Ela foi apenas isolada para o Comprimento e pode ser consultada em qualquer livro de fundações citado nas referencias ou que tratem sobre o assunto.

      Qualquer duvida me avise.

      Curtir

  1. O artigo afirma que devem ser armadas estacas com armadura mínima quando a tensão for inferior a 6 MPa e, a partir disso, a área da armadura deverá ser calculada, o que significa que todas as estacas devem ser armadas.
    Essa condição difere do NBR 6122:2019, que no item 8.6.3 afirma que “as estacas e tubulões podem, quando solicitados a cargas de compressão e tensões limitadas aos valores da Tabela 4, ser executados em concreto não armado, exceto quanto da armadura de ligação com o bloco”, portanto, as estacas com tensões menores que o indicado na referida tabela não necessitam de armaduras.
    A Tabela 4 corrobora esse entendimento, uma vez que indica a “Tensão de compressão simples atuante abaixo da qual não é necessário armar”.
    Algum motivo para adotar armadura em todas as estacas ou é apenas uma prática de projeto?

    Curtir

    1. Olá Francisco, tudo bem? Conforme citado no artigo a armadura mínima é utilizada quando a tensão é inferior a 6MPa. A NBR6122:2019, em sua Tabela 4 mostra exatamente isto estabelecendo taxas de armadura mínima e comprimento mínimo para esta condição. Como por exemplo para estacas Helice, com 0,4% de armadura e 4 metros de comprimento mínimo.

      Este artigo foi escrito em 2018, contudo este item da norma não foi alterado com exceção ao tipo de concreto necessário.

      Curtir

Deixe uma resposta