
Há alguns posts aqui no “Além da Inércia” que apresentam os tipos de fundações e até o dimensionamento, você pode encontra-lo aqui. Esse artigo entretanto é destinado ao dimensionamento das estruturas de uma fundação em sapatas isoladas.
A escolha do tipo de fundação depende de diversos fatores como as condições técnicas e financeiras, a proximidade e estado de edificações próximas, o tipo de solo, a magnitude das ações e etc. As fundações diretas são mais usuais em solos em que o SPT fica em torno de 12 a 15. Se você não sabe oque é o SPT, leia aqui.
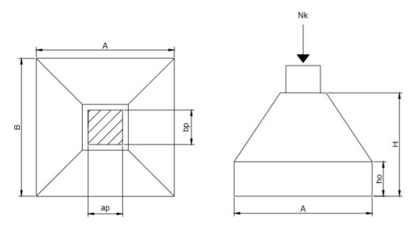
O dimensionamento estrutural de uma sapata pode ser realizado considerando duas hipóteses. As sapatas são rígidas e suas distribuições de tensões são planas e uniformes, ou as sapatas são flexíveis e não ocorre uma uniformidade das tensões. Para que uma sapata seja rígida ela deve satisfazer as seguintes condições apresentadas na Equação 1, onde H é a altura da sapata, A e B são dimensões em planta, ap e bp são dimensões do pilar. Na Figura 1 é apresentada as dimensões em planta de uma sapata, o detalhamento do método de dimensionamento é encontrado aqui.


Dimensionamento e Esforços Internos
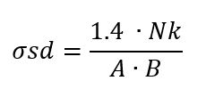
Para o cálculo dos esforços internos de uma sapata é necessário determinar inicialmente a tensão de cálculo exercida sobre o solo, Equação 2. Onde o 1.4 é o coeficiente de majoração da carga na fundação (Nk).

O próximo passo é determinar os esforços que atuam tanto na dimensão “A” da sapata como os esforços que atuam na dimensão “B”. A Equação 3 apresenta a determinação dos momentos nas direções “a” e “b”.

A determinação da linha neutra numa sapata é adotada por simplificação, e segurança, como sendo a seção comprimida igual a um retângulo, o que permite encontrar a linha neutra pela mesma equação apresentada nos artigos sobre estruturas de concreto, aqui , com algumas pequenas mudanças. A dimensão “d” que nas vigas corresponde a altura da viga, aqui é interpretada como sendo H – 10 centímetros. A Equação 4 ilustra a determinação da linha neutra na direção “a” e direção “b”.

Assim como nas vigas, a linha neutra possui um valor máximo estabelecido por norma. Para concretos com resistência a compressão menor que 50 MPa é igual a 0,45 vezes o valor de “d”. Por fim, a área de aço necessária para a sapata fica definida pela Equação 5.

Esse artigo foi útil para você? Compartilhe esse artigo para que outras pessoas aprendam a dimensionar a armadura de sapatas para Fundação Rasa. Se tiver dúvidas, deixe nos comentários que elas serão respondidas!
Siga nas redes sociais abaixo para acompanhar nosso trabalho!
Fontes:
Cherem, M. “Notas de Aula da Disciplina de Concreto Armado II”. Centro Universitário da FEI. São Bernardo do Campo, 2016.


