
O dimensionamento de pavimentos de concreto simples é realizado utilizando a teoria das placas isótropas, onde a estrutura apoiada em um meio elástico que por simplificação é representado por um sistema de molas. Neste modelo simplificado, o solo responderia com uma reação aos esforços impostos sobre a placa e estaria condicionada ao deslocamento na superfície da placa. Dessa forma, a constante elástica é chamada de módulo de reação do subleito e ela está relacionada com a rigidez do sistema.
Winkler (1867) foi quem desenvolveu um modelo simplificado para calcular os esforços de reação de subleitos em fundações rasas, o qual é composto por molas que não transmitem esforços de cisalhamento entre si e com constante elástica idêntica. Dessa forma, a pressão de reação do subleito é medido pelo produto do deslocamento vertical sofrido (y) e a constante elástica da mola (k), conforme Equação 1.
O modelo de Winkler considera que todas as molas possuem a mesma constante elástica, ou seja, a pressão exercida na base da estrutura seria a mesma. Contudo, na realidade a pressão exercida na base das estruturas seria maior nas bordas do que no centro e, além disso, muda conforme a posição e a espessura da placa, por exemplo.
Ensaio para obter o Módulo de reação do Subleito
Segundo Oliveira (2000), a maioria dos métodos de dimensionamento de pavimentos de concreto utilizam a modelagem da fundação como um líquido denso, sendo necessária a definição do módulo de reação do subleito para o cálculo de tensões e momentos na placa de concreto.
Segundo Huang (2004), o módulo de reação do subleito pode ser obtido em campo através do ensaio de prova de carga em placas rígidas, o qual está descrito nas normas NBR 6489, DNIT 055/2004-ME e ASTM-D 1196 (1977). Para realização do ensaio é utilizada uma placa circular de no mínimo 76 centímetros de diâmetro, sendo recomendado na DNIT 055/2004 uma placa circular de aço com diâmetro de 79,9 centímetros. O carregamento é aplicada através de um macaco hidráulico com capacidade entre 98 e 196kN e, além disso, deve apresentar um manômetro com precisão de 0,010MPa. A Figura 2 ilustra o ensaio de prova de carga em placas de concreto.
Segundo a norma DNIT 055/2004, quando o ensaio de placa for realizado direto no subleito, é necessária uma escavação supeficial até a cota desejada para o ensaio em uma área com diâmetro superior ao dobro do diâmetro da placa de aço. Além disso, a área de apoio da placa de aço e das sapatas de suporte dos deflectômetros deve ser nivelada.

Após o posicionamento dos equipamentos e ajuste dos deflectômetros, é realizado um carregamento inicial chamado de pressão de adensamento (Pad). Esse carregamento tem como função a acomodação da placa e deve ser realizado até atingir um deslocamento vertical entre 0,25mm e 0,50mm, conforme DNIT 055/2004. Em seguida, é aplicado um carregamento correspondente a metade da pressão de de adensamento para ajustar a placa e registrar as leituras iniciais de referência. O carregamento deve ser mantido até que as oscilações de deflexões não sejam superior a 0,02mm durante 2 minutos, o que corresponde a uma estabilização dos deflectômetros.
O carregamento é iniciado até que o aumento de pressão transmitida para a placa seja de 0,015 a 0,020MPa. Após a estabilização das deflexões, as leituras são registradas e o carregamento prossegue com carregamento sucessivos até atingir uma pressão de 0,15 a 0,18 MPa. A curva de pressão-deslocamento, obtido com o ensaio de prova de carga, deve apresentar um número mínimo de 6 pontos.
A DNIT 055/2004 recomenda que no momento de descarregamento do macaco hidráulico sejam realizadas 3 leituras intermediárias e uma leitura final. O cálculo do módulo de reação do subleito é realizado para o deslocamento de 0,127cm, com exceção dos subleitos que apresentarem ruptura antes desse valor de deslocamento. Segundo a norma descrita, o módulo de reação do subleito é calculado pela Equação 2, o qual corresponde ao quociente da pressão aplicada pelo deslocamento sofrido de 0,127cm.
O DNIT (2005) estabelece os valores típicos do módulo de reação do subleito em função dos tipos de solos, classificados no método AASHTO-HRB, para avaliação de soluções e cálculo de custos. Os valores típicos são indicados no Quadro 1. Balbo (2009) indica valores do módulo de reação do subleito em função do tipo de solo, classificado pelo MCT, e do tipo de base utilizada para projeto de pavimentos de concreto, conforme Quadro 2.

Correlação entre parâmetros do solo e o Módulo de reação do Subleito
Muitas vezes o módulo de reação de subleito é chamado de “Coeficiente de Recalque” em pesquisas, na norma DNIT 055/2004 e, até mesmo, no Manual de Pavimentos Rígidos do DNIT (2005). O termo recalque, de comum emprego na área de geotecnia, corresponde a uma deformação plástica causada no solo. Contudo, o módulo de reação do subleito corresponde a uma deformação elástica, recuperável, do meio. Dessa forma, o termo “Coeficiente de Recalque” é teoricamente incorreto para definição deste parâmetro, sendo recomendado e preferível o “Módulo de reação do subleito”, conforme chamado por Westergaard (1926).
Na prática de projetos de dimensionamento de pavimentos é comum que o módulo de reação do subleito seja obtido através de correlações de outros parâmetros, por exemplo com o valor de CBR de um determinado solo. Contudo, o uso de correlações deve ser realizado com muita cautela e com base em critérios técnicos, principalmente quando realizados entre parâmetros elásticos (módulo de reação do subleito e módulo de resiliência) e parâmetros plásticos (CBR). A utilização de uma correlação de parâmetros de mesma origem, parece mais conveniente. A AASHTO (1993) utiliza a correlação da Equação 3 para situações em que a placa é apoada sobre o solo, sendo o módulo de resiliência expresso em psi.

A realidade do valor do Módulo de reação do Subleito
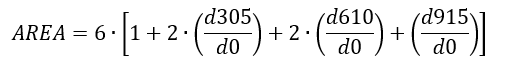
Segundo Balbo (2009), o módulo de reação do subleito não se trata de um parâmetro intrínseco do solo, mas sim de um parâmetro de comportamento do sistema composto pela placa de concreto e o suporte. Dessa forma, o módulo de reação do subleito deve ser obtido através de retroanálise com parâmetros de deflexão, para o qual a AASHTO (1993) recomenda a aplicação de uma carga de 40kN em uma placa de 300mm de diâmetro e as deflexões medidas nas posições 0 (central), 305mm, 610mm e 915mm. O módulo de reação do subleito (k) é obtido com base na máxima deflexão sofrida pelo sistema e na área normalizada da bacia de deflexão, conforme Equação 4.
Hall et al (1997) realizaram estudos em pavimentos do Long Term Pavement Performance para compararar os valores obtidos por retroanálise com aqueles encontrados no ensaio de prova de carga em placa rígida. Os autores chegaram a conclusão de que os valores de módulo de reação do subleito retroanalisados são maiores do que aqueles encontrados com o ensaio de placa, podendo considerar que o valor de retroanálise é o dobro do valor obtido no ensaio de placa. Além disso, os autores observaram que mesmo para solos finos com grau de saturação de 100% o módulo de reação de subleito mínimo obtido foi de 7MPa/m.
A influência do módulo de reação do subleito na redução de tensões em placas de concreto
O módulo de reação do subeito está totalmente relacionado com a forma de reação do meio para as forças atuantes na placa de concreto. Dessa forma, quanto maior for o módulo de reação do subleito, menores serão as tensões resultantes da aplicação de cargas por roda na placa. Contudo, Westergaard já mostrava em seus estudos que o valor de “k” possui pouca influência para a redução de tensões na placa. A Figura, 3 ilustra as tensões em uma placa com módulo de reação de subleito de 50MPa/m (esquerda) e de 200MPa/m (direita). Ou seja, o aumento de 4 vezes no módulo de reação do subleito, reduz em 30% as tensões de tração na fibra inferior da placa de concreto. Segundo Balbo (2009) esse mesmo aumento reduziria em 8% a espessura da placa.
Como observado, o aumento do módulo de resiliência diminui as tensões provenientes do tráfego. Por outro lado, esse mesmo aumento resulta em um acréscimo de tensões de tração provenientes do empenamento térmico. Conforme mencionado por Darter et al (1994) o aumento de rigidez no suporte, motivado por uma nova camada na estrutura e o aumento do módulo de reação do subleito, resulta em um aumento das tensões de empenamento da placa. Isso ocorre pois quanto mais rígido for o apoio, maior será a perda de suporte durante o empenamento térmico. Dessa forma, as tensões combinadas que resultam do tráfego e empenamento são maiores para essa condição da estrutura, conforme observado no artigo sobre influência do diferencial térmico positivo em placas de concreto.
REFERÊNCIAS
BALBO, J. T. PAVIMENTOS DE CONCRETO. SÃO PAULO: OFICINA DE TEXTOS, 2009.
DARTER, M. I et al. BASE AND SUBGRADE SUPPORT EFFECTS ON CONCRETE PAVEMENT PERFORMANCE. IN: INTERNATIONAL WORKSHOP ON THE DESIGN AND EVALUATION OF CONCRETE PAVEMENTS. 1994
DEPARTAMENTO NACIONAL DE INFRA-ESTRUTURA DE TRANSPORTES (DNIT). MANUAL DE PAVIMENTOS RÍGIDOS. RIO DE JANEIRO, 2006
HUANG, Y. H. PAVEMENT ANALYSIS AND DESIGN. NEW JERSEY: PRENTICE HALL, 1993.
WINKLER, E. 1867. THEORY OF ELASTICITY AND STRENGTH. DOMINICUS PRAGUE, CZECHLOSVAKIA.




