
A compressão é causada pela ação de expulsão da água ou do ar dos espaços vazios do solo, aumentando seu grau de compactação e causando o deslocamento das partículas de solo. Esse deslocamento do solo é chamado de recalque ou assentamento do solo, podendo causar diversos problemas em obras, causando trincas e podendo até levar a ruptura dependendo da estrutura. Dessa forma, precisamos determinar a compressibilidade do solo a qual e pode ser dividido em 3 categorias:
- Recalque Elástico ou Imediato (Immediate or Elastic Settlement): É a deformação elástica dos solos secos, úmidos ou saturados.
- Recalque por adensamento primário (Primary Consolidation Settlement): É resultado da alteração do volume em solos coesivos saturados.
- Recalque por adensamento secundário (Secondary consolidation Settlement): É resultado do ajuste plástico da estrutura do solo.
Dessa forma, o recalque total pode apresentado pela Equação 1 como a somatória das 3 parcelas.

RECALQUE ELÁSTICO
O recalque elástico ocorre logo após a aplicação da carga e sem mudar o teor de umidade do solo, dependendo do material de apoio e do tipo de fundação. Para aplicações em cálculos de recalque para fundações, já temos um artigo sobre o tema aqui.
RECALQUE POR ADENSAMENTO
O recalque por adensamento é aquele que ocorre com a redução do volume do solo, podendo ser maior do que o recalque elástico. O adensamento ocorre pela seguinte ordem:
- Estágio I: Compressão inicial, causada principalmente pelo pré carregamento
- Estágio II: Adensamento primário, o excesso de poropressão diminui pela expulsão da água
- Estágio III: Adensamento secundário, ocorre após dissipação completa do excesso de poropressão.
Através de um gráfico de deformação, pode-se estudar a alteração do volume de vazios com o tempo. Inicialmente calcula-se a altura de sólidos (Hs) pela Equação 1, onde Gs é a gravidade específica dos sólidos, A é a área do CP, Ws é o peso seco do corpo de prova e gama w é o peso específico da água

O segundo passo é calcular a altura inicial dos vazios, pela Equação 2, o qual é a diferença entre altura inicial do CP e altura dos sólidos. E o calculo do índice de vazios pela Equação 3.


No ensaio, para o primeiro aumento de tensão que provoca a variação de altura, calcula-se a variação dos vazios pela Equação 4, e o índice de vazios após o primeiro adensamento pela Equação 5.


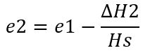
Após o segundo carregamento e variação de altura, calcula-se novamente o índice de vazios no fim do adensamento pela Equação 6.

Argila Normalmente Adensada: É aquela que a tensão efetiva de sobrecarga atual é a tensão máxima que o solo foi submetido.
Argila Sobreadensada: É aquela que tensão de sobrecarga atual é menor que a tensão que o solo sofreu no passado. A qual a do passado é chamada de pré adensamento.
Esse artigo foi útil para você? Compartilhe esse artigo para que outras pessoas entendam esse conceito da Geotecnia. Se tiver dúvidas, deixe nos comentários que elas serão respondidas!
Siga nas redes sociais abaixo para acompanhar nosso trabalho!
Fontes:
DAS, B.M; SOBHAM, K; “FUNDAMENTOS DE ENGENHARIA GEOTÉCNICA“. 8º Edição. California: Cengage Learning, 2010
HUMES, C. “NOTAS DE AULA DA DISCIPLINA DE MECÂNICA DOS SOLOS“. São Bernardo do Campo, 2015.


