
A percolação que ocorre em solos pode levar grãos finos para um material mais grosso, com o tempo esse carreamento pode resultar na colmatação dos vazios e consequentemente em problemas dependendo do tipo de obra.
Com isso, a distribuição granulométrica dos materiais grossos deve ser adequada para evitar a colmatação. Essa escolha e adequação da granulometria dos materiais grossos é chamada de filtro.
Os materiais de filtro são escolhidos com base nas condições propostas por Terzagui e Peck:
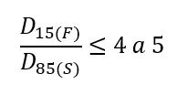
- Dimensões de vazios do filtro (F) devem ser suficientes para reter as partículas maiores do material protegido (S). Em outras palavras, a razão entre o diâmetro em que 15% do material de filtro passa e o diâmetro em que 85% do material protegido passa deve ser menor ou igual do que 4 a 5, conforme Equação 1.

- O material de filtro deve ter alta condutividade hidráulica para impedir geração de grandes forças de percolação e pressão hidrostática. Em outras palavras, a razão entre o diâmetro em que 15% do material de filtro passa e o diâmetro em que 15% do material protegido passa deve ser maior ou igual do que 4 a 5, conforme Equação 2.

Além das condições propostas por Terzagui e Peck, em 1971 a Marinha dos Estados Unidos da América propôs as seguintes condições para filtros:
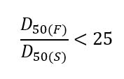
- Para impedir o deslocamento das partículas do solo protegido devem ser atendidas 3 razões entre granulometrias. A razão entre o diâmetro em que 15% do material de filtro passa e o diâmetro em que 85% do material protegido passa deve ser menor ou igual do que 5, conforme Equação 1 de Terzagui e Peck. A razão entre o diâmetro que 50% do material de filtro passa e o diâmetro em que 50% do material protegido passa deve ser menor que 25, Equação 3. A Razão entre o diâmetro em que 15% do material de filtro passa e o diâmetro em que 15% do material protegido passa deve ser menor do que 20, conforme Equação 4.


- Para impedir a geração de grandes forças de percolação aplicadas ao filtro, a razão entre o diâmetro em que 15% do material de filtro passa e o diâmetro em que 15% do material protegido passa deve ser maior ou igual do que 4, conforme Equação 2 de Terzagui e Peck.
- Material de filtro não deve ter grãos maiores do que 76,2mm para evitar a segregação de partículas.
- Para evitar o movimento interno dos grãos finos, o filtro deve apresentar no máximo 5% passante na peneira #200.
- Caso sejam utilizados tubos para coleta de água de percolação, os filtros devem ser utilizados em torno dos tubos para impedir que os grãos finos entrem nos tubos. Para evitar o deslocamento do material de filtro para dentro do tubo devem satisfazer 2 condições. A razão entre o diâmetro em que 85% do material de filtro passa e a largura do tubo deve ser maior do que 1,2 a 1,4. A razão do diâmetro em que 85% do material de filtro passa e o diâmetro do furo deve ser maior do que 1 a 1,2.
Esse artigo foi útil para você? Compartilhe esse artigo para que outras pessoas entendam esse conceito da Mecânica dos solos. Se tiver dúvidas, deixe nos comentários que elas serão respondidas!
Siga nas redes sociais abaixo para acompanhar nosso trabalho!
Fontes:
DAS, B.M; SOBHAM, K; “FUNDAMENTOS DE ENGENHARIA GEOTÉCNICA“. 8º Edição. California: Cengage Learning, 2010
HUMES, C. “NOTAS DE AULA DA DISCIPLINA DE MECÂNICA DOS SOLOS“. São Bernardo do Campo, 2015.


