
A resistência ao cisalhamento do solo é definida como a resistência interna por área específica que a massa de solo pode oferecer para resistir a ruptura e deslizamentos ao longo de um plano.
Em 1990, Mohr apresentou uma teoria que afirma que a massa de solo atinge a ruptura devido a combinação entre tensões normais e tensões de cisalhamento, ou seja, não é devido a tensões máximas normais ou de cisalhamento isoladas.
A envoltória no plano de ruptura em função da tensão normal total é definida pela Equação 1.

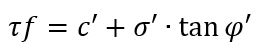
A tensão normal total é a soma da tensão normal efetiva mais a poropressão, onde a efetiva é aquela suportada apenas pelos sólidos do solo. A envoltória de ruptura em função da tensão efetiva é apresentada na Equação 2.

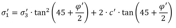
Para areias e siltes inorgânicos a coesão c’ é zero. Para argilas normalmente adensadas a coesão c’ é bem próxima de zero, e para argilas sobreadensadas a coesão c’ é maior que zero. A ruptura por cisalhamento acontece quando a tensão por cisalhamento alcança o valor da equação, onde sigma 1 representa a tensão efetiva maior e sigma 3 a tensão efetiva menor.


Esse artigo foi útil para você? Compartilhe esse artigo para que outras pessoas entendam esse conceito da Geotecnia. Se tiver dúvidas, deixe nos comentários que elas serão respondidas!
Siga nas redes sociais abaixo para acompanhar nosso trabalho!
Fontes:
DAS, B.M; SOBHAM, K; “FUNDAMENTOS DE ENGENHARIA GEOTÉCNICA“. 8º Edição. California: Cengage Learning, 2010
HUMES, C. “NOTAS DE AULA DA DISCIPLINA DE MECÂNICA DOS SOLOS“. São Bernardo do Campo, 2015.


