
As misturas asfálticas conhecidas como “misturas a frio” são aquelas que utilizam a emulsão asfáltica como ligante para a mistura O materiais asfálticos a frio são utilizados para revestimento em vias de baixo volume de tráfego, e muito utilizados em manutenções do pavimento, conhecido como “Tapa Buraco”.
Os principais tipos de misturas a frio são os tratamentos superficiais, a mistura de areia asfalto e o pré misturado a frio (PMF). A dosagem do pré misturado a frio é baseado na DNER ME 107/94, onde inicialmente realizam-se cálculos para teores de asfalto e emulsão.
Segundo Bernucci, Motta, Ceratti e Soares (2008) o cálculo pode ser realizado utilizando a proposição de Duriez que consiste na superfície específica dos agregados a partir da distribuição granulométrica. A Equação 1 apresenta a formula de Vogt, que é uma adaptação da equação de Duriez.

onde,
- ∑ = superfície específica dos agregados
- P4 = Massa passante na peneira 2″ e retida na 1″
- P3 = Massa passante na peneira 1″ e retida na 1/2″
- P2 = Massa passante na peneira 1/2″ e retida na #4
- P1 = Massa passante na peneira #4 e retida na #10
- S3 = Massa passante na #10 e retida na #40
- S2 = Massa passante na #40 e retida na #80
- S1 = Massa passante na #80 e retida na #200
- F = Massa passante na #200
Com o cálculo da superfície específica média dos agregados ocorre a correção com um fator que é função da massa específica real média dos agregados (Gsa médio). A Figura 1 ilustra as etapas para determinar o Gsa médio. A Tabela 1 os fatores em função da massa específica real média.


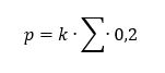
Após o cálculo da superfície específica dos agregados, calcula-se o teor de asfalto (p) em relação a massa total dos agregados, utilizando o fator k. Para pré misturados a frio, o valor de k varia entre 3,2 e 4,5. O teor de asfalto (p’) e de emulsão (p’ EA) fica definido pela Equação 3.


Definido o teor é realizada a dosagem pelo método de Marshall, variando os teores de moldagem e determinando os parâmetros volumétricos e mecânicos.
Esse artigo foi útil para você? Compartilhe esse artigo para que outras pessoas aprendam como realizar a dosagem de misturas asfálticas a frio. Se tiver dúvidas, deixe nos comentários que elas serão respondidas!
Siga nas redes sociais abaixo para acompanhar nosso trabalho!
Fontes:
BALBO, José Tadeu, “PAVIMENTAÇÃO ASFÁLTICA: Materiais, projeto e restauração”. São Paulo, 2007.
BERNUCCI, L.B; MOTTA, L.M.G; CERATTI, J.A.P; SOARES, J.B. “PAVIMENTAÇÃO ASFÁLTICA: Formação básica para Engenheiros”. Rio de Janeiro, 2008.
MEDINA, J; MOTTA, L.M.G. “Mecânica dos Pavimentos”. Rio de Janeiro, 2015.
PEIXOTO, Creso de Franco; “GENERALIDADES DE PAVIMENTAÇÃO RODOVIÁRIA”. Rio Claro, 2003.
PRIETO, Valter; “NOTAS DE AULA – SUPERESTRUTURA RODOVIÁRIA”. Centro Universitário da FEI. São Bernardo do Campo, 2016.



Ótima didática, obrigado!
CurtirCurtido por 1 pessoa
Muito obrigado, Anderson! Siga nosso blog para acompanhar todos os artigos!!
CurtirCurtir
ótimo conteúdo
CurtirCurtir
Obrigado!
CurtirCurtir