
O solo é composto por três porções constituídas de uma parte sólida, outra liquida e uma porção de ar. A parte líquida, a água, compreende quase que a totalidade dos vazios presentes no solo. Dessa forma, os solos permitem o escoamento de água através de seus vazios sendo esse expresso numericamente através do coeficiente de permeabilidade. O estudo da permeabilidade dos solos é importante para diversas aplicações no ramo da engenharia como, por exemplo, em drenagem, rebaixamento de níveis de água e recalques. Em 1856 o engenheiro francês Henry Darcy contribuiu para os estudos de permeabilidade constatando experimentalmente que a velocidade de percolação é diretamente proporcional ao gradiente hidráulico.
O coeficiente de permeabilidade é um parâmetro fundamental no estudo da condutividade hidráulica de pavimentos porosos como de camadas inferiores. A permeabilidade varia conforme o tipo de solo ou material poroso ao qual está sendo analisado, isso ocorre devido à temperatura e o índice de vazios presentes em cada um. Conforme a temperatura da água aumenta a sua viscosidade diminui, influenciando diretamente na facilidade de percolação pelo meio. Dessa forma, são analisadas sempre em condições de temperatura de aproximadamente 20 graus Celsius. A Figura 1 ilustra a representação do ensaio de permeabilidade.

O coeficiente de permeabilidade, representado pela letra “k” e o qual é expresso em centímetros por segundo, mede a facilidade da água em percolar pelo solo ou meio poroso. O gradiente hidráulico, “i”, é expresso em centímetros por centímetros e corresponde a diferença de potencial entre dois pontos, obtido razão entre a diferença de carga hidráulica entre dois pontos e o comprimento entre eles. A Equação 1 apresenta o gradiente hidráulico.

Quando ocorre a percolação da água no solo, a tensão efetiva, que é a diferença entre a tensão total do solo e a pressão neutra, será diferente que a tensão estática do solo. Quando essa tensão efetiva for nula, o gradiente hidráulico é chamado de gradiente hidráulico crítico e a estabilidade do solo é perdida. Nesse momento ocorre um fenômeno chamado de “Condição Movediça”, o qual na maioria dos solos ocorre quando o gradiente crítico varia entre 0,9 e 1,1. A Equação 2 indica a situação crítica.

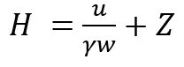
A energia de um fluido, formulado por Bernoulli, é apresentado em disciplinas como Fenômenos dos Transportes e Mecânica dos Fluidos, e utilizados aqui para determinar a energia potencial hidráulica. A energia de um fluido é apresentado pela somatória de 3 cargas hidráulicas, sendo elas a carga piezométrica, carga cinética e carga altimétrica. Como a velocidade da água no solo é baixa, a carga cinética pode ser desconsiderada da equação.A carga piezométrica consiste na pressão neutra dividido pelo peso específico do solo. A Carga altimétrica é a própria medida entre o ponto em análise e o plano de referência. A Equação 3 exemplifica a carga hidráulica.

Com a análise entre pontos, encontra-se o gradiente hidráulico e com isso determina-se a vazão por meio da equação de Darcy, Equação 4, onde a área corresponde a área da seção transversal ao fluxo.

Esse artigo foi útil para você? Compartilhe esse artigo para que outras pessoas entendam esse conceito da Geotecnia. Se tiver dúvidas, deixe nos comentários que elas serão respondidas!
Siga nas redes sociais abaixo para acompanhar nosso trabalho!
Fontes:
DAS, B.M; SOBHAM, K; “FUNDAMENTOS DE ENGENHARIA GEOTÉCNICA“. 8º Edição. California: Cengage Learning, 2010
HUMES, C. “NOTAS DE AULA DA DISCIPLINA DE MECÂNICA DOS SOLOS“. São Bernardo do Campo, 2015.



Nossa que artigo bom! Me ajudou demais!
CurtirCurtir