
Agora que já temos conhecimento sobre a capacidade de carga e também um pouco sobre o método executivo dos diversos tipos de fundações diretas, podemos começar a pensar um pouco mais sobre o método de dimensionamento de uma Sapata.
O primeiro passo para o dimensionamento de uma sapata é o cuidado com um parâmetro importante. Devemos ter em mente que a profundidade de embutimento tem que ser inferior a largura B da sapata. Para que dessa forma possamos desprezar a resistência de cisalhamento acima da cota de apoio da sapata, e substituir por uma sobrecarga q, a qual corresponde ao produto do peso especifico e da altura.
Devemos adotar um tipo de sapata a ser utilizado e também uma largura B para sua base, para definir o bulbo de tensões. Diversos são os métodos que podem ser empregados para encontrar as dimensões, podendo ser por meio de adoção e posterior análise ou a aplicação de algum método. Abaixo é apresentado o método dos balanços iguais.
Método dos Balanços Iguais
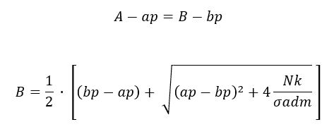
O método dos balanços iguais consiste no dimensionamento das dimensões em planta de uma sapata. Consiste em definir as dimensões da sapata que resultem em uma relação entre dimensões da sapata e dimensões do pilar, conforme Equação 1. Onde Nk é a carga de compressão na sapata. A NBR 6122 sugere ainda que seja utilizado valores de A e B superiores a 60 centímetros.

A Altura da sapata, fica definido pela Equação 2 para que resulte em uma sapata rígida. A sapata rígida é aquela em que pode-se considerar a distribuição de tensões de forma plana e uniforme. A dimensão h0 é definido pelo maior valor entre 1/3 da altura da sapata ou 20 centímetros. A Figura 1 ilustra as dimensões da sapata em planta e em vista.


Esse artigo foi útil para você? Compartilhe esse artigo para que outras pessoas entendam esse conceito da Geotecnia. Se tiver dúvidas, deixe nos comentários que elas serão respondidas!
Siga nas redes sociais abaixo para acompanhar nosso trabalho!
Fontes:
Amann, Kurt; “Notas de Aulas da disciplina de Fundações e Obras de Terra”. Centro Universitário da FEI. São Bernardo do Campo, 2016.
Cherem, M. “Notas de Aula da Disciplina de Concreto Armado II”. Centro Universitário da FEI. São Bernardo do Campo, 2016.



1 comentário