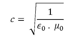
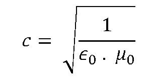
velocidade

Deixe uma resposta