
O ensaio de compressão triaxial é um dos métodos mais confiáveis para determinar os parâmetro de resistência ao cisalhamento, sendo utilizado um corpo de prova com diâmetro de 36mm e comprimento de 76mm. Dessa forma, o Triaxial é também um dos ensaios mais importantes e necessários em grandes obras para garantir segurança e qualidade em uma Obra geotécnica.
No processo de execução do ensaio triaxial o corpo de prova é envolvido por uma fina membrana de borracha e colocado dentro de uma câmara preenchida com água ou glicerina, conforme a Figura 2.

O corpo de prova é submetido a uma pressão de confinamento por compressão do fluído da câmara, e uma tensão axial pela haste de carregamento vertical. A tensão é aplicada de duas maneiras:
- Aplicação de pesos ou pressão hidráulica.
- Aplicação da deformação axial a uma taxa constante por meio de uma prensa de carregamento mecânico para ensaio de deformação controlada.
O ensaio triaxial é composto por 3 tipos:
- Ensaio Adensado Drenado (Consolidated Drained – CD)
- Ensaio adensado não drenado (Consolidated undrained – CU)
- Ensaio não adensado e não drenado (Unconsolidated Undrained – UU)
TRIAXIAL ADENSADO DRENADO (CD)
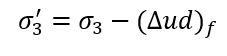
No ensaio CD o corpo de prova saturado é submetido principalmente a uma pressão de confinamento em toda sua volta, o sigma 3. Se a drenagem for impedida, a aplicação de confinamento aumenta a poropressão (u). Se permitir a drenagem, ocorre a dissipação da poropressão e o adensamento. Com o tempo, a poropressão uc é dissipada e a tensão total (sigma 3) é igual a tensão efetiva (sigma’ 3).
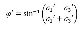
O ensaio CD pode demorar dias, principalmente em solos argilosos que possuem baixa permeabilidade, pois a tensão de confinamento deve ser aplicada lentamente para garantir drenagem plena. O ângulo de atrito fica definido pela Equação 1.

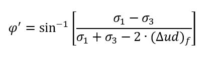
O Ângulo do plano de ruptura fica definido pela Equação 2.

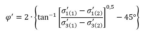
Quando o ensaio é realizado em dois corpos de prova, pode-se obter o ângulo de atrito e coesão através da Equação 3 e Equação 4, respectivamente.



TRIAXIAL ADENSADO NÃO DRENADO (CU)
O ensaio CU é o mais comum ensaio triaxial, onde o corpo de prova saturado é primeiro adensado por uma pressão de fluido. Após a poropressão do confinamento ser dissipada, a tensão desviadora (variação da tensão) aumenta para causar a ruptura por cisalhamento. Como a drenagem é mantida fechada, a poropressão aumenta.
Em areia fofa e argila normalmente adensada, a poropressão aumenta junto com a deformação até determinado limite, sendo que depois disso ela decresce e torna-se negativa em relação a pressão atmosférica. Esse decréscimo ocorre por tendência do solo em aumentar o seu volume. Diferente do que ocorre no ensaio CD, a tensão efetiva e a tensão total não são iguais no ensaio CU.




ENSAIO TRIAXIAL NÃO ADENSADO E NÃO DRENADO (UU)
O ensaio UU é chamado também de ensaio rápido, e durante o ensaio a poropressão aumenta com a aplicação da tensão de confinamento. Em seguida ocorre um aumento adicional devido a tensão desviadora.
Esse ensaio é normalmente usado em corpos de prova de argila e depende de um conceito de que a tensão axial adicional da ruptura é praticamente a mesma e independente da tensão de confinamento. Dessa forma, a envoltória de ruptura é uma linha horizontal com ângulo de atrito efetivo igual a zero, o qual só é valido para siltes e argilas saturadas.
Esse artigo foi útil para você? Compartilhe esse artigo para que outras pessoas entendam esse conceito da mecânica dos solos. Se tiver dúvidas, deixe nos comentários que elas serão respondidas!
Siga nas redes sociais abaixo para acompanhar nosso trabalho!
Fontes:
DAS, B.M; SOBHAM, K; “FUNDAMENTOS DE ENGENHARIA GEOTÉCNICA“. 8º Edição. California: Cengage Learning, 2010
HUMES, C. “NOTAS DE AULA DA DISCIPLINA DE MECÂNICA DOS SOLOS“. São Bernardo do Campo, 2015.



1 comentário