
Anteriormente tratamos sobre o limite de liquidez e o Limite de plasticidade. Existe ainda um outro limite a ser apresentado, o qual é o limite de contração. O solo se contrai com a perda da umidade.
A continua perda de umidade acaba levando o solo a alcançar um estado de equilíbrio no qual a perda de mais umidade não causa alteração no volume do solo. Esse teor de umidade, quando o solo não varia mais o volume, é definido como limite de contração.
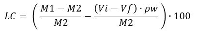
O Ensaio para determinar o Limite de contração é realizado com uma capsula, o qual a parte interna é recoberta com vaselina e preenchida com o solo úmido. A massa de solo é pesada (M1) e em seguida passa por uma estufa. A estufa é aquecida em 105 a 110°C, aproximadamente. Após seca, a amostra é pesada novamente (M2).
Para determinar o volume da amostra seca e úmida utiliza-se uma cuba de vidro com mercúrio. A amostra é mergulhada no mercúrio, gerando um deslocamento do volume de mercúrio. Esse deslocamento é definido como o volume de solo da amostra. A Equação 1 demonstra os cálculos para o Limite de Contração.

Esse artigo foi útil para você? Compartilhe esse artigo para que outras pessoas entendam esse conceito da Mecânica dos Solos. Se tiver dúvidas, deixe nos comentários que elas serão respondidas!
Siga nas redes sociais abaixo para acompanhar nosso trabalho!
Fontes:
DAS, B.M; SOBHAM, K; “FUNDAMENTOS DE ENGENHARIA GEOTÉCNICA“. 8º Edição. California: Cengage Learning, 2010
HUMES, C. “NOTAS DE AULA DA DISCIPLINA DE MECÂNICA DOS SOLOS“. São Bernardo do Campo, 2015.


